ORIGINAL ARTICLE

Radon levels in dwellings and workplaces: a comparison with data from some European countries

Rosabianca Trevisi*1, Federica Leonardi1, Giuliana Buresti1, Michele Cianfriglia2, Giorgia Cinelli3, Valeria Gruber4, Thomas Heinrich5, Olli Holmgren6, Francesco Salvi7, Emiliano Seri2 and Peter Bossew8

1National Institute for Insurance against Accidents at Work (INAIL), Rome, Italy; 2Sapienza University, Rome, Italy; 3European Commission, Joint Research Centre (JRC), Ispra, Italy; 4Austrian Agency for Health and Food Safety (AGES), Linz, Austria; 5Saxon state company for environment and agriculture, Germany; 6Radiation and Nuclear Safety Authority (STUK), Helsinki, Finland; 7National Inspectorate for Nuclear Safety and Radiation Protection (ISIN), Rome, Italy; 8German Federal Office for Radiation Protection (BfS), Berlin, Germany

Abstract

Background: According to 2013 European Basic Safety Standards (EU BSS), legal and administrative consequences of having an area declared as radon priority area (RPA) concern workplaces (WP) and public buildings, as well as dwellings (DW). However, RPAs in many cases are defined as higher levels of indoor radon in DW. The reason is that most data are available for DW. So far, indoor radon data for WP (except for schools) and public buildings are scarce.

Objective: The objective of this study was to compare indoor radon levels in DW and WP in a given area and to evaluate whether they have different distributions and different average levels.

Design: Austria, Finland, Germany, and Italy provided indoor radon data on DW and WP.

Data related to WP were aggregated in the same grid, as already done for data on DW, to update the European Indoor Radon Map. Based on 10 km × 10 km grid cells, the same statistics are computed for both datasets. Thus, two structurally equal datasets for each country were generated to be statistically compared.

Results and conclusions: Generally, there are numerous indoor radon data on DW than data on WP. Statistical analysis suggests that in all the countries, indoor radon levels – in terms of arithmetic mean (AM) of the natural logarithm-transformed data – in WP and DW are statistically different (P < 0.05), as well as from those referring to schools. The difference in distributions is neither attributable to the effect of geology nor to the effect of different sample sizes.

The correlation between aggregated data is positive in the sense that if the mean (over grid cells) radon concentration increases in DW, it increases in WP as well. Compared with DW, in all countries indoor radon levels in WP seem to be statistically different, but the results are not enough to draw final conclusions: on-purpose designed surveys could be a useful tool to better understand this phenomenon.

Keywords: indoor radon; dwellings, workplaces; schools; statistical tests

 

Citation: Journal of the European Radon Association 2022, 3: 7581 http://dx.doi.org/10.35815/radon.v3.7581

Copyright: © 2022 Trevisi R et al. This is an Open Access article distributed under the terms of the Creative Commons Attribution-NonCommercial 4.0 International License (http://creativecommons.org/licenses/by-nc/4.0/), permitting all non-commercial use, distribution, and reproduction in any medium, provided the original work is properly cited.

Published: 04 March 2022

Competing interests and funding: The authors declare that there is no conflict of interest. This work is supported by the European Metrology Programme for Innovation and Research (EMPIR), JRP-Contract 16ENV10 MetroRADON (www.euramet.com). The EMPIR initiative is co-funded by the European Union’s Horizon 2020 research and innovation program and the EMPIR Participating States.

*R. Trevisi, DiMEILA, INAIL Research Center, Via Fontana Candida 100,078, Monteporzio Catone (Rome) – Italy. Email: r.trevisi@inail.it

 

The European Basic Safety Standards (EU BSS) (1) provides a conceptual definition of ‘radon priority area’ (RPA) as an ‘area where the radon concentration (as an annual average) in a significant number of buildings is expected to exceed the relevant national reference level’ (Art. 103). Typically, this is interpreted as a greater occurrence of high radon concentrations in DW than average: to this end, many national surveys on radon levels in DW have been conducted since the 1980s (2).

Recently, a document was developed by a dedicated Working Party and subsequently adopted by the group of experts referred to in Article 31 of the Euratom Treaty, which deals with this topic as ‘Delineation of areas with potentially high exposure to radon’ (RP193 ‘Radon in workplaces [WP]’)(3). RP193, indeed, provides a wider definition of ‘areas’, based on the fact that indoor ‘radon concentrations in buildings can vary significantly depending on geogenic and anthropogenic factors’. Anthropogenic factors include the use of buildings, living habits, working conditions, and arrangements.

Defining a geographical area as RPA implies to introduce legal and administrative bindings: this is a delicate aspect. In the first place, the RPA identification leads to the adoption of provisions relevant to the protection from radon in WP and public buildings (EU BSS Art. 54)(3).

Houses, WP, and public buildings, therefore, need to have the same distribution of indoor radon levels if the same RPAs are defined for all types of buildings. However, if the indoor radon levels at home are used for estimating RPAs, then their distribution should be representative also of that in WP and public buildings.

Previous indoor radon surveys pointed out a different distribution of indoor radon levels in DW and WP located at the same area and thus subject to the same geogenic radon influence. In some cases, WPs seem to have higher radon levels compared with DW (4, 5), whereas in other cases opposite conclusions were drawn (6). This can be a consequence of different construction styles, different occupation factors, intended use and different ‘building physics’ in terms of air circulation.

Moreover, under the term of ‘WP’ a great variety of situations are included, for example, from schools and public buildings up to warehouses, malls, etc. It is evident that, for instance, schools, shops, police stations, workshops, metro stations, industrial production halls, museums, etc., have different physical characteristics and little in common among each other, apart from being WP. A classification of WP according to radon characteristics is still missing.

For the abovementioned reasons, it is not clear how representative or adequate are RPAs derived from residential buildings and DW with respect to the distribution of radon in WP altogether or to a certain type of workplace.

In the framework of the EURAMET project MetroRADON (7), a study has been devoted to this topic. This work focuses on the analysis of data (radon annual activity concentrations in DW and WP) provided by Austria, Italy, Germany, and Finland. Its results and further elaboration are discussed in this article.

Materials and methods

Description of the datasets

Four indoor radon datasets (DW and WP) were built using data from past surveys: Table 1 provides an overview of national datasets with their main characteristics.

Table 1. Description of datasets and their principal characteristic
Country Dwellings (DW) N cells Workplaces (WP)
N samples Duration of measurements N samples Duration of measurements Type of WP
Austria ~7,000 6 months1 113 ~1,200
(1,000 adm.build. + 200 schools [SCH])
3 months (SCH)
6 months1 for adm. build.
Adm.buil., SCH
Finland ~162,000 60–70 days 373 ~6,300 60–70 days Many kinds of WP3
Germany ~2,000 4–12 months 48 ~300 Annual sampling Public building2
Italy ~14,700 Annual sampling 623 9,000
(~2,400 WP + ~6,300 SCH- kindergartens [KG])
Annual sampling Many kinds of WP
16 months: half-winter half-summer
2Public buildings (PBs) include administrative buildings (adm. build.), schools (SCH), and kindergartens (KG)
3No special WPs (such as mines, waterworks, spas, etc.) are included

National data were collected considering their comparability in terms of:

  1. Quantity of interest: radon (here denoted as 222Rn) average over the period indicated in Table 1, which is not in all cases an estimate of the annual mean. In such instances, normalization was applied (see below) in Bq/m3;
  2. Duration of measurements: long-term (at least 3 months) measurements to evaluate the annual mean radon activity concentration;
  3. Position: data referred only to rooms located at ground floor;
  4. About WP datasets, there is a need to collect metadata on different types of WPs.

Nationally, available datasets consisted in radon annual (or estimated representative of the year) activity concentrations measured in DW and general WP (for Finland), or in different types of WP, such as public buildings, schools, and kindergartens (for Austria, Italy, and Germany). Moreover, Finnish databases covered the entire national territory, whereas in the case of Austria, Germany and Italy, the data were at the regional scale (Upper Austria and Saxony). At national level, collected data differed in some aspects, such as the order of magnitude of the numbers of collected data on DW versus WP (sample size): available data on DW are more numerous compared to those on WP.

The national databases were not homogenous in some methodological aspects, such as the duration and the period (season) of sampling: in Italy and in Germany, indeed, the sampling lasted 12 months, whereas in Finland only 60–70 days, and consequently the annual radon average was estimated applying a normalization factor. In Austria, 6 months measurements (half in winter and half in summer) were considered to be representative for the annual radon concentration.

As radon data are sensitive for data protection and privacy reasons, sharing information on accurately geo-referenced original data were not feasible. Consequently, WP and DW radon data were aggregated by the data owners into the same grid as for the European Indoor Radon Map (8, 9), based on 10 km × 10 km grid cells (defined by the same geographical coordinates, which refer, in this case, to a metric grid in LAEA projection). Grid cells with data only from either DW or WP have been eliminated from the analysis. Moreover, a minimum of two data per cell was set. With these assumptions, two comparable datasets were obtained for further statistical analysis.

On both aggregated radon data (DW and WP), descriptive statistics were computed: number of data in each grid cell, arithmetic mean (AM) of the natural logarithms (AM[ln]), standard deviation of the natural logarithms (SDL), median, minimum (min) and maximum (max).

Statistical analysis

For each country, data related to DW and WP have been paired when they refer to the same cell.

Before proceeding with any analysis, it was important to improve the quality of the data. To this end, an outlier detection analysis was performed. First, a bivariate test based on the Mahalanobis distance was applied to the paired data AM(ln)s. Subsequently, the Rosner’s generalized extreme studentized deviate test (10) was performed on both the AM(ln)s individually in order to detect further outliers.

Statistical analysis on comparison of sample means was performed with the IBM SPSS software (11), whereas the linear regression analysis was carried out using the statistical software PAST (12, 13).

On data, a preliminary test of normality was carried out with the aim of establishing the type of test required in the comparison of sample means. In particular, the two most common normality tests, namely Shapiro–Wilk and Kolmogorov–Smirnov tests, were used. In both cases, P < 0.05 was considered to be statistically significant.

On national datasets, the AM(ln) data referring to DW and WP were compared to test the significance of mean value differences between the two groups.

As first comparison, a ‘simple’ test was implemented. Specifically, it was assumed to work with independent (or unpaired) samples. However, to eliminate the confounding contribution/effect of the soil, a matched-pairs test was carried out.

In both cases, whenever the two AM(ln)s variables were normally distributed, the well-known Student’s (unpaired or paired two-sample) t-test was used. Conversely, when AM(ln)s were not normally distributed (the Shapiro–Wilk test or Kolmogorov–Smirnov test has a P < 0.05), then non-parametric Mann–Whitney (unpaired samples) and Wilcoxon (paired samples) tests were applied.

On each country’s dataset exploratory statistics, for example, mean and quantiles, are computed and the distributions of AM(ln) for paired match samples of DW and WP were compared graphically using a box plot. Finally, to assess the possible effect because of the different number of data in DW and WP datasets, only sets of data weighted by the number of samples were analyzed. In particular, for each cell, the values of AM(ln)DW and AM(ln)WP were weighted by their own number of samples. The same data analysis scheme was also applied to subsets of the data to compare DW with specific WP, such as schools for Austria, Italy, and Germany.

Moreover, on each country’s dataset, a correlation analysis was carried out. As parametric association model between Rn concentrations (RnC) in DW and WP a simple model was chosen:

Rnc(WP) = b·Rnc(DW).

This assumption, which does not consider the presence of an intercept, appears to be the most plausible for physical reasons. As we are interested to find a b parameter, which optimally represents the symmetric association between the variables DW and WP, the use of a common regression is to avoid. Common linear regression (CLR), 1 in fact, is not symmetric because

JERA-3-7581-E1.jpg

where X is RnC (WP) and Y is RnC(DW).

To achieve reciprocal symmetry,2 there are different options to explore, in this study we focalized on the following:

  1. orthogonal (OR) or main axis (MA) regression (1416)
  2. reduced main axis (RMA) regression.

Details about the regression model can be found in Appendix 1 and in Warton et al. (17)

Results of the application of the abovementioned regression options are described in the following paragraph.

Results and discussion

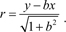
Datasets were built referring to radon concentration data in DW and WP for Austria, Finland, Germany, and Italy: in all the countries, DW and WP datasets differ in terms of the total number of samples and of distribution per cell. Looking at Fig. 1, the analysis of frequency distributions of samples per cell within all datasets (DW and WP) pointed out that in DW datasets the sample size is spread in many classes, from 10 samples per cell up to several hundred (as in the case of Finnish DW dataset). Conversely, in WP datasets, most of the data is in classes of 20 samples per unit (cell). To evaluate whether radon in DW and WP is differently behaving, on national DW and WP datasets, the AM(ln) was the parameter of interest. According to the literature, it was assumed that the radon in data within each cell is normally distributed (18, 19).

Fig 1
Fig. 1. Frequency distribution of sample sizes (DW and WP) per cell within each national dataset. Class dimension is the same for all dataset and equals to 20. Units of x-axis: Bq/m³.

The box plot reported in Fig. 2 represents the AM(ln)s data distributions of DW and WP for Austria, Finland, Germany, and Italy. Looking at all box Plots, for Austria and Finland, radon levels in WP seem to be more scattered, in terms of a wider distribution and greater standard deviation compared with DW, as also shown in Table 2a. Similarly, radon median values in WP are lower for Austria and Finland but not for Germany: indeed, a very similar median value was found in Italy.

Table 2a. Descriptive-weighted statistics (DW vs. WP)
Country Type N. Cells N. samples3 AM(ln[x])1 SDL2 Min Max Range Median
Austria DW 107 6,462 4.89 0.36 4.05 5.90 1.85 4.88
WP 1,141 4.60 0.54 3.34 5.89 2.55 4.54
Italy DW 618 11,275 4.450 0.52 2.88 5.9 3.02 4.39
WP 7,543 4.663 0.58 2.91 6.05 3.14 4.38
Finland DW 367 160,717 5.11 0.40 3.47 5.93 1.74 5.15
WP 5,950 4.21 0.47 1.24 7.27 2.75 4.24
Germany DW 45 1,700 4.38 0.38 3.60 5.34 2.55 4.40
WP 300 4.59 0.56 3.24 5.99 2.75 4.47
1AM(ln[x]) is the arithmetic mean of the logarithm.
2SDL = SD(ln x); SD is the standard deviation of the logarithm.
3Outliers are not included.

 

Fig 2
Fig. 2. Box Plot of AM(ln)s related to dwellings and ‘general’ workplaces (DW/WP): Austria, Finland, Germany, and Italy. Boxes: 25, 75% quantiles, median; whiskers: min-max.

Similar conclusions concerning the dispersion of data can also be drawn looking at Table 2b when comparing DW with schools.

Table 2b. Descriptive-weighted statistics (DW vs. school)
Country Type N. cells N. samples3 AM(ln[x])1 SDL2 Min Max Range Median
Austria DW 37 2,407 5.01 0.30 4.40 5.68 1.28 4.97
WP 157 4.88 0.71 3.42 6.50 3.08 4.80
Italy DW 493 9,428 4.45 0.50 2.88 6.25 3.37 4.46
WP 5,110 4.38 0.54 2.91 6.29 3.38 4.38
Germany DW 33 1,468 4.31 0.33 3.64 5.11 1.47 4.30
WP 212 4.51 0.47 3.78 5.55 1.77 4.27
1AM(ln[x]) is the arithmetic mean of the logarithm.
2SDL = SD(ln x); SD is the standard deviation of the logarithm.
3Outliers are not included.

Main results of statistical analysis are summarized in Tables 36, in which the number of samples, number of cells, confidence interval, and P-values are reported.

Table 3. Comparison on weighted data (DW vs. WP)
Country Typology N. samples Interval1 P-value2 DW > WP
Austria DW 6,462 (4.896; 5.039) MW test3 < 0.001 yes
WP 1,141 (4.627; 4.842)
Italy DW 11,275 (4.532; 4.615) MW test3 < 0.001 yes
WP 7,543 (4.497; 4.587)
Finland DW 160,717 (5.148; 5.231) MW test3 < 0.001 yes
WP 5,950 (4.275; 4.373)
Germany DW 1,700 (4.335; 4.574) MW test3 < 0.001 no
WP 300 (4.563; 4.896)
195% Cox confidence interval (20).
2When P < 0.05, the null hypothesis is rejected.
3MW test is Mann–Whitney U–test.

 

Table 4. Results of matched-pairs test (DW vs. WP)
Country Typology N. Cells Interval1 P-value2 DW > WP
Austria DW 107 (4.926; 5.078) W(4)Test <0.001 yes
WP (4.645; 4.882)
Italy DW 618 (4.469; 4.557) t-Student 3 0.012 no
WP (4.545; 4.645)
Finland DW 367 (4.983; 5.093) W(4)Test < 0.001 yes
WP (4.242; 4.403)
Germany DW 45 (4.252; 4.527) t-Student 3 < 0.001 no
WP (4.723; 5.106)
195% Cox confidence interval (20).
2When P < 0.05 the null hypothesis is rejected.
3Matched-pairs t-test cannot be weighted.
4W test is Wilcoxon test.

 

Table 5. Comparison of weighted data (DW vs. school)
Country Typology N. samples N. cells Interval1 P-value2 DW > WP
Austria DW 2,407 37 (4.960; 5.156) (Mann-Withney Test) 0.002 no
School 157 (4.874; 5.385)
Italy DW 9,428 493 (4.516; 4.607) (Mann-Withney Test) < 0.001 yes
School 5,110 (4.469; 4.571)
Germany DW 1,468 33 (4.253; 4.486) (Mann-Withney Test) < 0.001 no
School 212 (4.446; 4.783)
195% Cox confidence interval (20).
2When P < 0.05 the null hypothesis is rejected.

 

Table 6. Results of matched-pairs test1 (DW vs. school)
Country Typology N. cells Interval2 P-value3 DW > WP
Austria DW 37 (4.979; 5.185) (t-Student) 0.130 no
School 37 (4.830; 5.402)
Italy DW 493 (4.453; 4.550) (t-Student) 0.033 no
School 493 (4.534; 4.646)
Germany DW 33 (4.177; 4.462) (t-Student) <0.001 no
School 33 (4.521; 4.877)
1Matched-pairs t-test cannot be weighted.
295% Cox confidence interval (20).
3When P < 0.05, the null hypothesis is rejected.

Table 3, which reports outcomes of weighted tests, shows that in all countries indoor radon levels in WP and DW are statistically different (P < 0.05), and this is not attributable to the effect of different sample size (see Table 2a for descriptive statistics).

However, it is well-known that the importance of the geology on indoor radon levels: to analyze this effect, the matched-pairs tests were carried out on national datasets. Table 4 reports the results of the statistical analysis on AM(ln) for paired match samples: data suggest that indoor radon levels in WP and DW are statistically different (P < 0.05).

In all countries, the different distribution of indoor radon levels in WP and DW seems not attributable to the effect of the geology nor to the effect of the sample size.

The same analysis scheme was applied to compare radon data related to DW and a specific typology of WP: schools. The outcomes for Austria, Germany, and Italy are given in Table 5 and Table 6 whereas Table 2b reports descriptive statistics. In particular, the weighted test on data related to DW and schools showed that radon levels in schools and DW are statistically different (P < 0.05) in all the three countries (see Table 5). Conversely, the match-paired test highlighted that radon data in DW and schools are statistically different in Italy and Germany but not in Austria (see Table 6).

As shown in Table 2a and b, compared with DW, WP (and schools) data seem to be a little bit more scattered (cf. Standard deviations and ranges). Nevertheless, although DW could be more suitable than WP to investigate radon distribution (less internal variability, etc.) in a given geographical area (mapping), at the same time, DW are not representative of ‘all buildings’. Therefore, it could be appropriate to use the proper correction factors in the identification of RPAs or an integration in the sampling design of indoor radon surveys to account for the influence of different ‘anthropogenic factors’, as required in RP193 (3).

Outputs of the regression analysis for every national dataset (DW/WP) are reported in Table 7. Since there were no significant differences between slopes calculate by OR and RMA for an easy reading, only graphs related to RMA regression were reported (Fig. 36). Looking at the slopes of the fitted regression lines, it is possible to confirm a positive relation between AM (WP) and AM (DW) for all countries. To understand the strength and the direction of this relation, the value of the slope is a good indicator but it is important to understand whether the differences between these numbers are statistically different. As previously said, all symmetric regression models lead to a very similar conclusion, so, in order to compare slope values among countries, only data from RMA were used: results in terms of P-values as shown in Table 8. According to this table, slopes are not statistically different (P > 0.05) for the pair Austria / Finland and Italy / Germany, but there are for the other pairs. Comparison of all four countries leads to p = 3.7·10-11, that is, the slopes are different.

Table 7. Estimates of the OR and RMA regression model coefficients (DW/WP)
Country N. cells Slope±SE1 Interval2
OR3 RMA4 OR3 RMA4
Austria 113 0.791 ± 0.058 0.834 ± 0.05 0.555–0.968 0.650–0.988
Finland 373 0.728 ± 0.042 0.825 ± 0.034 0.119–0.956 0.525–1.076
Germany 48 1.288 ± 0.099 1.249 ± 0.087 0.899–1.498 0.940–1.427
Italy 623 1.033 ± 0.025 1.028 ± 0.022 0.934–1.122 0.942–1.105
All 1,157 0.865 ± 0.023 0.904 ± 0.019 0.693–0.848 0.759–0.885
1Standard error
295% confidence level
3Orthogonal regression
4Reduced main axis regression

 

Table 8. P-values to the hypothesis that RMA slopes between countries are equal
Country Austria Finland Germany Italy
Austria 0.87 P < 0.05 P < 0.05
Finland 0.87 P < 0.05 P < 0.05
Germany P < 0.05 P < 0.05 P < 0.05
Italy P < 0.05 P < 0.05 P < 0.05

 

Fig 3
Fig. 3. Fitted RMA model between arithmetic mean (AM) in Bq/m3 for workplaces (WP) on y axis and AM in Bq/m3 for dwelling (DW) on x axis – Austria.

 

Fig 4
Fig. 4. A fitted RMA model between arithmetic mean (AM) in Bq/m3 for workplaces (WP) on y axis and AM in Bq/m3 for dwelling (DW) on x axis – Finland.

 

Fig 5
Fig. 5. A fitted RMA model between arithmetic mean (AM) in Bq/m3 for workplaces (WP) on y axis and arithmetic mean (AM) in Bq/m3 for dwelling (DW) on x axis – Germany.

 

Fig 6
Fig. 6. A fitted RMA model between arithmetic mean (AM) in Bq/m3 for workplaces WP) on y axis and arithmetic mean (AM) in Bq/m3 for dwelling (DW) on x axis – Italy.

This finding can also be visualized through statistical plots (see Fig. 7) of the normalized difference between DW and WP. It is apparent that the association between radon concentrations in DW and WP is different: in Austria and Finland, on the one hand (DW > WP in tendency), and in Italy and Germany, on the other hand (DW < WP), as also reported in Table 4.

Fig 7
Fig. 7. Box plots of q = (WP – DW)/(DW + WP) calculated from AM related to Austria, Finland, Germany, and Italy. Boxes: 25, 75% quantiles, median; whiskers: min-max.

Geographical trend of the association

The geographical distribution of the quantity q, estimated with ordinary kriging based on the shown variogram with Surfer v.8 software, is shown in Fig.8.

Fig 8
Fig. 8. Geographical pattern of the quantity (WP – DW)/(DW + WP). Inset: Variogram. Coordinates: LAEA (m). IT = Italy, Up-AT = Austria, SAX = Germany, FI = Finland.

q = (WP – DW)/(DW + WP),

where WP and DW are the AM of radon concentrations in workplace and dwelling, respectively.

There is very little autocorrelation, as can be concluded from the variogram. While there are differences between the four areas, as discussed in the previous section, trends within the areas may exist; however, this cannot be convincingly proved given the data. Altogether, the analysis of section seems to be qualitatively confirmed. From the grid underlying in Fig. 8, spatial mean values of the ratios q can be calculated. The contrast between Austria/Finland and Italy/Germany (Fig. 9) is similar to the one found previously (Fig. 7). The statistics for grid data and data of cells (original data set) are provided in Table 9.

Table 9. Statistics calculated for the quantity q = (WP – DW)/(WP + DW) from the grid underlying Fig. 8 compared with the statistics on dataset
Country Data/Grid N1 Arithmetic mean (AM)2 Standard error (SE)3 Standard deviation (SD)4 Median
Austria Data 113 –0.180 0.029 0.312 –0.178
Grid 156 –0.174 0.006 0.080 –0.174
Finland Data 373 –0.342 0.016 0.313 –0.399
Grid 606 –0.351 0.005 0.126 –0.349
Germany Data 48 0.138 0.044 0.304 0.191
Grid 102 0.141 0.011 0.108 0.150
Italy Data 623 0.013 0.011 0.264 0.025
Grid 1,005 0.024 0.003 0.101 0.031
1N grid is the number of grid cells on which the quantity has been estimated. N data is the number of cells that represent data in dataset.

 

Fig 9
Fig. 9. Box plots of q = (WP – DW)/(DW + WP) calculated from AM of grid data related to Austria (AT), Finland (FI), Germany (Sax), and Italy (IT). Boxes: 25, 75% quantiles, median; whiskers: min-max.

Summary and conclusion

A study was carried out on indoor radon data from Austria, Italy, Finland, and Germany. The datasets consist of indoor radon data (as annual average concentration at ground floor) on DW and WP. This study aimed to evaluate whether the distributions of radon in DW and WP were statistically different.

Indoor radon data on WP were aggregated in the same grid as already done for the data related to DW in the European Indoor Radon Map (10 km × 10 km grid cells). Thus, two structurally equal datasets for each country were generated to be statistically compared.

The results of statistical analysis suggest that in all the countries the associations between radon concentrations at WP and in DW are different in different regions. Even the directions of the associations, DW > WP or DW < WP, are different. The different distribution is neither attributable to the effect of geology nor to the effect of different sample sizes. The available data do not allow a final conclusion about the reason of the finding: further investigation is still needed to explain these inconsistencies between the results: on-purpose designed surveys could be a useful tool to better understand this phenomenon. A possible reason could be the compositions of the ‘workplace’ sets: indeed, different types of WP have different radon characteristics.

Even if DW could be more suitable than WP to investigate radon distribution in a given geographical area, it is worth noting that they do not represent ‘all buildings’, due to the influence of different anthropogenic factors.

The application of different regression models to evaluate the relationship between the two variables showed that in all countries, cell means of indoor radon levels in DW and in WP seem to have a statistically significant positive correlation. At the same time, the analysis confirms that DW and WP have different Rn characteristics, in general.

Authors’ contribution

Conceptualization, R.T., G.C. P.B.; data curation, R.T., F.L., G.C.; formal analysis, R.T. F.L., G.C., P.B., G.B., M.G., E.S.; interpretation, R:T, F.L., V.G., G.C., P.B., O.H, F.S., G.B., M.G., E.S ; data acquisition, VG, O.H., T.H., F.S: ; writing—original draft, R.T, F.L., G.C.; writing—review & editing, R.T., F.L., G.C., P.B.; English revision, G.B., P.B. All authors have read and agreed to the published version of the manuscript.

References

  1. European Commission. Council Directive 2013/59/EURATOM of 5 December 2013 laying down basic safety standards for protection against the dangers arising from exposure to ionising radiation and repealing Directives 89/618/Euratom, 90/641/Euratom, 96/29/Euratom, 97/43/Euratom and 2003/122/Euratom. Off. J. Eur. Union, 17.1.2014, L 13, 1–70.
  2. Pantelić G, Čeliković I, Živanović M, Vukanac I, Nikolić JK, Cinelli G, et al. Qualitative overview of indoor radon surveys in Europe. J Environ Radioact 2019; 204: 163–74. doi: 10.1016/j.jenvrad.2019.04.010
  3. European Commission. Radiation Protection 193. Radon in workplaces - Implementing the requirements in Councile Directive 2013/59/Euratom. Luxembourg: Publications Office of the European Union, 2020, ISBN 978-92-76-10531-2, ISSN 2315-2826, doi: 10.2833/552398
  4. Bucci S, Pratesi G, Viti ML, Pantani M, Bochicchio F, Venoso G. Radon in workplaces: first results of an extensive survey and comparison with radon in homes. Radiat Prot Dosimetry 2011; 145(2–3): 202–5. doi: 10.1093/rpd/ncr040
  5. Žunić ZS, Bossew P, Bochicchio F, Veselinovic N, Carpentieri C, Venoso G, et al. The relation between radon in schools and in dwellings: a case study in a rural region of Southern Serbia. J Environ Radioact 2017; 167: 188–200. doi: 10.1016/j.jenvrad.2016.11.024
  6. Espinosa G, Golzarri JI, Angeles A, Griffith RV. Nationwide survey of radon levels in indoor workplaces in Mexico using nuclear track methodology. Radiat Meas 2009; 44(9-10): 1051–4. doi: 10.1016/j.radmeas.2009.10.035
  7. EMPIR 16ENV10. MetroRADON: metrology for radon monitoring 2017–2020. Available from http://metroradon.eu/
  8. Cinelli G, Tollefsen T, Bossew P, Gruber V, Bogucarskis K, De Felice L, et al. Digital version of the European Atlas of natural radiation. J Environ Radioact 2019; 196: 240–52. doi: 10.1016/j.jenvrad.2018.02.008
  9. Cinelli G, De Cort M, Tollefsen T, Achatz M, Ajtić J, Ballabio C, et al. European Atlas of natural radiation. Publications Office of the European Union, Luxembourg, 2019, ISBN 978-92-76-08259-0.
  10. Bhattacharya PK, Burman P. Multivariate analysis. In: Theory Methods Statistics. Academic Press; 1st edition (June 10, 2016), 383–429, ISBN-10: 0128024402, doi: 10.1016/B9780128024409.000126
  11. IBM Corp. Released 2017. IBM SPSS Statistics for Windows, Version 25.0. Armonk, NY: IBM Corp.
  12. Hammer Ø, Harper DAT, Ryan PD. PAST: PAleontological STatistics software Package for Education and Data Analysis version 4.08. Natural History Museum – University of Oslo. Available from: https://www.nhm.uio.no/english/research/infrastructure/past/.
  13. Hammer Ø, Harper DAT, Ryan PD. PAST: paleontological statistics software package for education and data analysis. Palaeontol Electron 2001; 4: 1–9.
  14. Casella G. Berger RL. Statistical inference. 2nd ed. 2021. Cengage Learning. Boston, Massachusetts, USA. ISBN 9780534243128.
  15. Carroll RJ, Ruppert D. The use and misuse of orthogonal regression in linear errors-in-variables models. Am Stat 1996; 50(1): 1–6. doi: 10.2307/2685035
  16. Carr JR. Orthogonal regression: a teaching perspective. Int J Math Educ Sci Technol 2012; 43(1): 134–43. doi: 10.1080/0020739X.2011.573876
  17. Warton DI, Wright IJ, Falster DS, Westoby M. Bivariate line-fitting methods for allometry. Biol Rev Camb Philos Soc 2006; 81(2): 259–91. doi: 10.1017/S1464793106007007
  18. Bossew P. Radon: exploring the log-normal mystery. J Environ Radioact 2010; 101(10): 826–34. doi: 10.1016/j.jenvrad.2010.05.005
  19. Cinelli G, Tondeur F. Log-normality of indoor radon data in the Walloon region of Belgium. J Environ Radioact 2015; 143: 100–9. doi: 10.1016/j.jenvrad.2015.02.014
  20. Olsson U. Confidence intervals for the mean of a log-normal distribution. J Stat Educ 2005; 13(1): null-null. doi: 10.1080/10691898.2005.11910638

Appendix 1. Regression model

Orthogonal (OR) or main axis (MA) regression:

Starting from a linear regression:

Y = b·x.

In orthogonal (MA) regression, the residual are equals to:

JERA-3-7581-E2.jpg

In the logic of least-square (LSQ) optimization, the ∑ of residues² are minimizes. For common linear regression (CLR), not symmetric, the solution is as follows:

JERA-3-7581-E3.jpg

where

JERA-3-7581-E4.jpg

Since this type of regression is not symmetric:

JERA-3-7581-E5.jpg

For OR, the slope can be written as follows:

JERA-3-7581-E6.jpg

It is easy to demonstrate that

JERA-3-7581-E7.jpg

that is, the slope is reciprocal symmetric against exchange of X and Y, contrary to common regression.

Reduced main axis (RMA) regression:

Here, the slope is simply the geometrical mean of the conditional slopes Y|X and X|Y:

JERA-3-7581-E8.jpg

JERA-3-7581-E9.jpg

Footnotes

1. CLR estimates the conditional expectation E(Y|X = x) where X and Y are DW and WP or reversely

2. JERA-3-7581-E10.jpg