RESEARCH ARTICLE

The effect of new building regulations on indoor radon in radon-prone municipalities

Hallvard Haanes*, Trine Kolstad, Ingvild Engen Finne and Bård Olsen

Norwegian Radiation and Nuclear Safety Authority, Østerås, Norway

Abstract

Radon is an important contributor to public radiation dose and it is important to monitor levels in homes and introduce measures to reduce radon concentration levels, both overall and where levels are especially high. In Norway, new building regulations were introduced in 2010, which required balanced ventilation and preventive measures to reduce indoor radon levels, including a radon barrier toward the ground and pressure reducing features beneath the building that prevent soil gas from entering (radon sump). Investigations of randomly selected homes all across Norway have shown that houses built under these new regulations have significantly lower radon levels. However, a few municipalities in Norway are especially radon-prone and have houses with particularly high levels. It is crucial to verify the effect of the new regulations in these municipalities, which we have done in this study. Here, we show that both preventive radon measures and balanced ventilation and the building regulations of 2010 have significant effects on reducing the radon levels in the houses of the public. Noticeably for management, houses with a well-ventilated crawl space, which have been exempt from the required preventive measures, still in some cases have levels above action and maximum recommended levels.

Keywords: radon-prone areas; indoor radon; radon prevention; radon membrane; radon sump; ventilation

 

Citation: Journal of the European Radon Association 2022, 3: 7886 http://dx.doi.org/10.35815/radon.v3.7886

Copyright: © 2022 Hallvard Haanes et al. This is an Open Access article distributed under the terms of the Creative Commons Attribution-NonCommercial 4.0 International License (http://creativecommons.org/licenses/by-nc/4.0/), permitting all non-commercial use, distribution, and reproduction in any medium, provided the original work is properly cited.

Published: 11 January 2022

Competing interests and funding: This research was part of the RadoNorm project. It has received funding from the Euratom research and training programme 2019–2020 under grant agreement No 900009. There is no conflict of interest with any parties.

*Hallvard Haanes, Norwegian Radiation and Nuclear Safety Authority, Postal Box 55, 1361 NO-Østerås, Norway. Email: hallvard.haanes@dsa.no

 

Within the earth’s crust, radium (226Ra) from naturally occurring progenitor radionuclide 238U decay to form radon (222Rn). 222Rn may emanate from solids into soil gas. Levels in soil gas depend on levels of progenitor radionuclides within bedrock and soil but also on soil permeability, which affect residence time (13). Entry of 222Rn into houses is common throughout the world, and with limited volumes and dilution, increased indoor levels are found in many countries. Thus, 222Rn and progeny are major contributors to dose received by the public (4). Their effect is supported by studies of uranium mine workers (5), as well as epidemiological studies demonstrating a link between residential 222Rn concentration and lung cancer prevalence (6, 7). It is, therefore, important to monitor both levels of 222Rn in the homes of the public, as well as introduce measures to reduce the levels.

In areas with temperate climates, heating of houses may involve a reduced indoor air pressure that increases the flux of soil gas and 222Rn into houses from the ground unless countered by preventive measures. In Norway, the Norwegian Radiation and Nuclear Safety Authority recommend that the annual average indoor 222Rn concentration levels should not exceed 200 Bq m–3 (maximum limit), and in homes with a higher level than 100 Bq m–3 (action limit), measures should be considered to reduce the level (8). In 2009, the Norwegian government published a national radon action plan (9), and one of the targets was that new buildings should have indoor radon concentrations that are as low as reasonably achievable and always less than 200 Bq m–3. To reduce the radon exposure in Norway, preventive measures were required in the building regulations of 2010 and continued in 2017 (10). The Norwegian Building Authority is the competent authority concerning the building regulations, and the municipalities are responsible for ensuring that the regulations are followed up through their processing of building applications. The required preventive measures were as follows: 1) a radon barrier beneath the base of the house to prevent influx of radon and 2) a passive radon sump that can be activated if necessary (CRn > 100 Bq m–3) to reduce pressure beneath the radon barrier to prevent flux of soil gas into the house. These were, however, not requirements in houses with a well-ventilated crawl space or garage beneath the whole house base since this equalizes pressure and prevents influx of soil gas. In addition to targeted preventive measures, energy saving and ventilation requirements were strengthened in the 2010 building regulations. With strengthened requirements to insulation and air tightness of buildings, balanced ventilation was pointed out as the best and most practical means to ensure sufficient air exchange. As a result, almost all new buildings are constructed with a balanced ventilation system. Balanced ventilation is a system of mechanical supply and exhaust ventilation. This affects the radon level both by diluting the radon concentration though increased air exchange and by equalizing the indoor air pressure to limit pressure driven flow of radon from the ground.

To assess the effect of the introduction of these preventive measures on indoor radon levels in Norway and the building regulations of 2010, two nationwide surveys have been performed: one before the onset of the new regulations and one afterward. In each survey, alpha track detectors were sent out together with a questionnaire to random newly built homes across Norway. A comparison of these two nation-wide surveys showed that the building regulations of 2010 and its radon preventive measures resulted in a significant reduction in detached houses with a halving of indoor 222Rn concentration from an average of 76 to 40 Bq m–3 and a 70% reduction of homes with concentrations above limits (11).

However, the ground underneath a building is a very important contributor to the indoor radon level. Thus, there are municipalities in Norway that are especially prone to radon with enhanced outdoor and indoor levels due to higher than normal bedrock levels of progenitor radionuclides or geological factors like increased soil permeability (1214). One particularly prone village, Kinsarvik in the municipality Ullensvang in Vestland county, has underlying permeable glacial sediments where chimney-like underground ventilation involves exhalation of very high levels of 222Rn concentration (12, 15, 16). Other prone municipalities where geological factors influence and involve high indoor levels of radon are Ulvik and Nesbyen, which have a mean of 270 Bq m–3 (17). We, therefore, wanted to perform similar surveys as previously, but specific for radon-prone municipalities, to verify the effect of the 2010 building regulations also in these municipalities and assure it involved reduced radon levels to below maximum and action limits.

Methods

In each of two surveys performed in 2008 and 2020, householders were provided two 222Rn alpha track detectors, instructions, and a questionnaire. The instructions were according to the standard measurement protocol (18), to deploy these in two occupied rooms, preferably in a bedroom and living room, for at least two of the winter months. The questionnaire asked for information about several things, including year of construction, type of building, building materials, type of basement, type of ventilation, whether radon measurements had been done there before, whether radon measures had been installed, whether it had a crawl space beneath equalizing pressure (replacing the requirement of preventive measures), and the location of the current measurements with regard to room type and floor. In the 2020 questionnaire, it was, in addition, asked whether and which preventive measures that had been installed and whether under-pressure beneath the building base (radon sump) had been activated.

The municipalities to be included as radon-prone areas were identified from a previous nation-wide survey: Drangedal, Grane, Nesbyen, Skjåk, Tana, Ullensvang, and Ulvik, where at the time, 20–50% measurement values were above the 200 Bq m–3 maximum limit (19). Prior to this, in 1996–1997, a separate project in the village Kinsarvik in Ullensvang showed an average yearly mean of more than 4,000 Bq m–3 (16). Since these assessments, the Municipality of Ullensvang has been merged with others, and Nes municipality has changed name to Nesbyen. To be able to compare the 2020 survey with the 2008 survey, only houses within the old and former municipality borders have been included.

Information about municipality, address, building year, and ownership was retrieved from the national ownership registry. In the 2008 survey, 247 detached houses and terraced houses built from 2000 to 2007 in the seven municipalities were offered to participate, and 68% responded. In the 2020 survey, 311 homes built from 2012 to 2019 in the seven municipalities were offered to participate, and 49% responded, with detached buildings dominating. Among these, due to building permits being given also for renovation and rehabilitation projects, some homes built prior to the 8-year cut-off were offered to participate. However, only new houses of maximum 8 years were included in this study to avoid the subsidence issues and foundation cracks of old house that may influence soil gas influx. In addition, several participants had not performed the measurements according to the standard protocol timing or duration of measurements. Most of these were excluded. To optimize sample size, we chose to include measurements lasting at least 2 months but allowed some measurements extending into May (50 buildings, two from 2020 survey and 48 from 2008). Among these, 13 buildings (25 measurements) that started their measurements in March (4 homes March 2–4, 5 homes March 6–15 and 4 homes March 15–25) and extended correspondingly into May, all from the 2008 survey when the national measurement standard was different and allowing this, were included to optimize the sample size. In total, measurements from 197 houses were included in this study, 79 (n = 155) from 2008 and 118 (n = 235) from 2020, among which 14 measurements were not marked with neither house identification nor municipality. In both surveys, the Norwegian Radiation and Nuclear Safety Authority delivered and analyzed the detectors. Annual mean radon concentration was calculated by seasonal correction weighting (0.75) in the winter months (18).

To assess variation in annual average indoor 222Rn concentration measurements in relation to covariation in all potential predictor variables, we used linear regression (20). To be able to assess for differences due to preventive measures and the building regulations of 2010, and also to control for factors involving other expected differences, predictor variables included were: municipality, which floor the measurement had been done, years since construction, type of ventilation, and whether radon measures were installed. The radon measures in 2008 and the preventive measures in 2020 were, therefore, combined. To be able to compare the municipalities, the levels for this factor variable were ordered according to the increasing median value of annual average indoor 222Rn concentration level across both the 2008 and the 2020 surveys, and for this term, a reverse Helmert contrasts was used (called Helmert in contrast package R), which compares each new level with the mean of previous levels. For ventilation, balanced ventilation was considered against all the other types of ventilation (regarding grouping). Regarding the 2010 building regulations, we assume that all houses in the 2020 survey have balanced ventilation (in spite of owners not having knowledge about their ventilation system). Correspondingly, for the type of basement, crawl space was considered against all others. According to the 2010 building regulations, all subsequently built houses and, thus, those included in the 2020 survey should have the required preventive measures installed but not necessarily activated. Therefore, the predictive variable ‘installed preventive measures’ was in the statistical analyses set to ‘yes’ for all the 2020 survey homes. By comparison, buildings from before 2010 did not have any such requirements, and any installed preventive measures in the radon-prone municipalities may be indications of awareness and protection against the issue. The linear model was stepwise simplified, removing non-significant terms. Parameter estimates are presented from after stepwise simplification since this improves accuracy (21).

Results and discussion

Among all included measurements for newly built homes in the 2008 and 2020 survey, 222Rn concentrations ranged from 5 to 1,900 Bq m–3 (median: 40, mean: 100, standard deviation [SD]: 170). Even though only some of the participating homes had very elevated indoor levels, as could be expected in radon-prone municipalities, the average is at the action limit. Among the homes, 33 had a measurement above the maximum limit of 200 Bq m–3, 8 homes had a value above 500 Bq m–3, and 3 homes had a value above 1,000 Bq m–3. The data had an approximate log-normal distribution (Fig. 1), and a log-transformation (yt = log2(yo+0.01) adding 0.01 to avoid log to zero) was performed prior to statistical analyses, yielding an approximate normal distribution. In homes with more than one measurement (most), the difference between measurements ranged from 0 to 1,030 Bq m–3 (median: 10, mean: 36, SD: 94), showing on average a relatively high degree of consistency per home.

Fig 1
Fig. 1.  Histogram of all 222Rn concentration measurements.

According to the answers in the questionnaires, only 4% of the homes participating in the 2008 survey had knowledge of previous measurements of indoor 222Rn concentration levels in their residence compared to 20% in the 2020 survey (Table 1). In the nationwide survey of random newly built houses (after 2012), about 3.5% of the homeowners reported that radon concentration measurements had been performed (11). Compared to this study, this may indicate that owners of new houses in radon-exposed areas are better informed and more aware than homeowners of new houses nationwide. In some areas, like Kinsarvik in the Ullensvang municipality, measuring new homes is mandatory. However, with an overall small proportion of homeowners measuring radon in their new home, it is reason to believe that too many radon sumps remain not activated, even if the radon level is above the action limit.

Table 1. Summary of counts (percent) of questionnaire answers for the two surveys in 2008 and 2020 on knowledge about previous 222Rn concentration measurements, type of ventilation, installation of measures, and for 2020 whether and which preventive measures
Yes No Don’t know Blank
2008 (n = 79)
Previous measurements 3 (4%) 73 (92%) 3 (4%)
Balanced ventilation 33 (42%) 42 (53%) 4 (5%)
Measures 28 (35%) 47 (59%) 4 (5%)
2020 (n = 118)
Previous measurements 23 (19%) 77 (65%) 16 (14%) 2 (2%)
Balanced ventilation 90 (76%) 22 (19%) 6 (5%)
Preventive measures 70 (59%) 18 (15%)* 29 (25%) 1 (1%)
222Rn membrane 66 (56%) 11 (9%) 41 (35%)
Radon sump 37 (31%) 10 (8%) 71 (60%)
Additional measures 5 (4%) 36 (31%) 10 (8%) 67 (57%)
*Of which 12 measurements were in 6 houses with crawl space (10%).

Nine homes in the 2008 survey and nine homes in the 2020 survey answered that they had a crawl space beneath the whole base of the house, but even so, one of these in 2008 and two in 2020 had knowledge of an installed radon measure. This is logical when looking at the annual average indoor 222Rn concentrations for these crawl space houses (Fig. 2). Among those without any known radon measures, in 2008 two homes had >100 Bq m–3 and one home had >450 Bq m–3 (two measurements), while in 2020 one home had around 100 Bq m–3 and another >200 Bq m–3, showing that in radon-prone municipalities, indoor levels can actually be too high despite a crawl space. Due to this, the crawl space homes are included in all further statistical summaries and analyses.

Fig 2
Fig. 2.  Boxplot of annual average indoor 222Rn concentration measurements for the 18 homes with crawl space.

For all homes, 35% had knowledge of some installed radon measure in the 2008 survey, which may indicate some awareness prior to the 2010 building regulations toward living in an area prone to indoor 222Rn in the selected municipalities. Moreover, even though all new homes in 2020 according to the 2010 building regulations should have preventive radon-measures, only 59% in the 2020 survey had knowledge that such measures were installed. Among preventive measures in the 2020 questionnaires, a radon membrane was the most common, and secondly a radon sump. In 2008, 42% of the homes answered they had a balanced ventilation compared with 76% in 2020. By comparison, in the nation-wide survey, in new detached homes 54% answered they had balanced ventilation in 2008 (11).

Across the 2008 survey, which is mainly detached houses, 222Rn concentrations ranged from 10 to 1,900 Bq m–3 (median: 70, mean: 150, SD: 230). In the 2020 survey, 222Rn concentrations ranged from 5 to 670 Bq m–3 (median: 40, mean: 70, SD: 95). This indicates that the radon preventive measures introduced by the 2010 building regulations on average halved the levels in newly built homes in radon prone municipalities from 2008 to 2020.

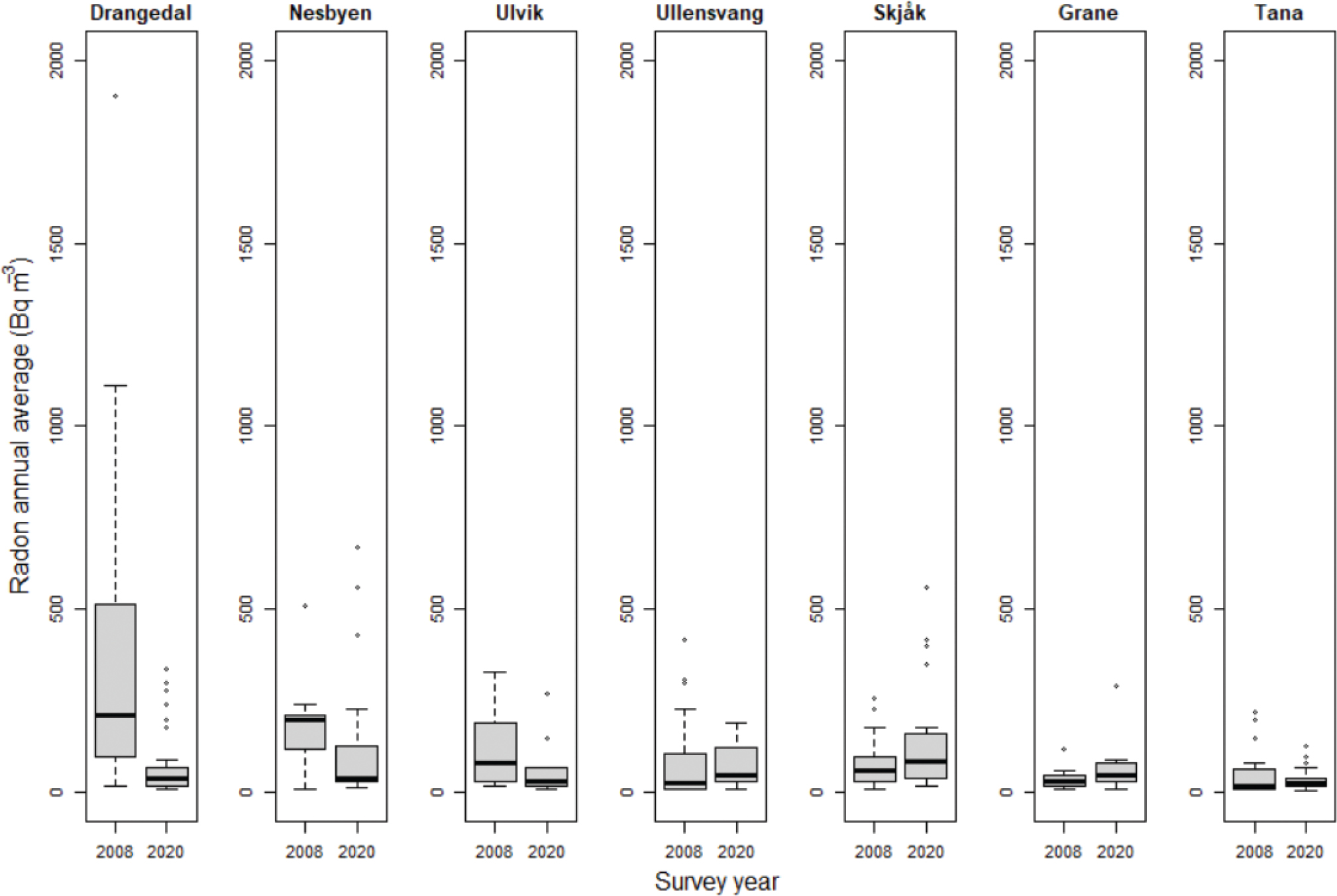
There was, however, some variation within and among municipalities (Table 2). The statistical significance of the difference between the surveys is clear in a t-test (t = 4.3, df: 260, P << 0.001). As expected, this is obvious for the ground floor, clear for the first floor but not clear for the second floor (Fig. 3). The difference between the 2008 and 2020 surveys is also clear for three of the surveyed radon-prone municipalities but not for four of these (Fig. 4 but see also means in Table 2). However, effects of preventive measures in radon-prone areas have also been found in other countries (22, 23). Among the municipalities at hand, in both Drangedal and Nesbyen, the median of the annual average radon concentrations was reduced by 80% from 2008 to 2020. In most of the municipalities, outliers above the action and maximum limits of 100 and 200 Bq m–3 were reduced by 50 to 100%. There is a surprising increase from 2008 to 2020 in Grane and Skjåk in both median and outliers above the limits, as well as in Ullensvang municipality. The village Kinsarvik in Ullensvang is one of the most radon-prone known places in Norway, and in a survey in 1997 (16), annual averages of indoor 222Rn concentrations ranged from 214 to 56,000 Bq m–3 (median: 2,270; mean: 4340). In the 2008 survey at hand, the three participating Kinsarvik homes ranged from 110 to 420 Bq m–3 (median: 265, mean: 260, SD: 100), while 10 homes in the 2020 survey ranged from 30 to 190 Bq m–3 (median: 70, mean: 90, SD: 50). In Kinsarvik, there thus appears to be a reduction from 2008, even though these three homes may not be representative. Also, the three Kinsarvik homes in the 2008 survey had according to their questionnaire answers installed some radon measure. This is a good indication of an increased awareness of the issue that this area is prone to radon and the need for measures prior to 2008. Looking at the whole Ullensvang municipality (excluding Kinsarvik homes), the annual average 222Rn concentration ranged in the 2008 survey from 10 to 100 Bq m–3 (median: 20, mean: 26, SD: 25), and in the 2020 survey from 10 to 30 Bq m–3 (median: 20, mean: 21, SD: 6). Among these Ullensvang homes, 4 of the 9 homes in the 2008 survey had installed radon measures, which may indicate an increased awareness as suggested above common to the whole municipality.

Table 2. Number of measurements (N), median, mean, and standard deviation (SD) for the annual mean radon concentration (Bq m–3) in assessed municipalities in the 2008 and the 2020 surveys
Municipality N Median Mean Min Max
2008 2020 2008 2020 2008 2020 2008 2020 2008 2020
Tana 20 74 20 25 53 31 10 5 220 130
Ulvik 10 18 80 30 129 66 20 10 330 270
Drangedal 31 37 210 40 365 74 20 10 1,900 340
Grane 17 14 30 50 36 69 10 10 120 290
Nesbyen 26 26 200 40 170 120 10 15 510 670
Ullensvang 24 28 25 50 85 70 10 10 420 190
Skjåk 27 24 60 85 81 136 10 20 260 560

Fig 3
Fig. 3.  Boxplot of annual average indoor 222Rn concentration per floor for the two surveys.

Fig 4
Fig. 4.  Boxplot of annual average indoor 222Rn concentration per municipality for the two surveys.

Across the data set, the effect of radon measures is clear (Fig. 5). The levels are highest in those homes in the 2008 survey that had other ventilation than balanced and where the homeowner did not know whether any radon preventive measures had been installed. Interestingly, those homes with other ventilation than balanced and where the homeowner had knowledge about installed radon measures had higher levels than homes where the owner had knowledge that no measures were installed (Fig. 5), which may suggest that protective actions taken have not been fully effective. The effect of the new building regulations is, however, clear, showing much lower levels when balanced ventilation is installed. In the full statistical model, a non-significant term was as expected among newly built houses, the age of the house (β: −0.03, standard error [SE]: 0.04, P > 0.48). The rest of the terms were statistically significant (Table 3). As expected, floors further from the ground have lower levels, as can be seen for the negative effect size of the parameter with increasing floor number and which is explained by dilution of 222Rn concentration as soil gas disperses up through the floors. Although some houses with crawl spaces showed high radon levels, the effect of having a crawl space is statistically significant in reducing radon levels, as expected. This is shown by the negative parameter estimate for the term where crawls space is coded with 2 and not crawl space is coded with 1 (indicating a decrease in levels with higher code).

Table 3. Parameter estimates, standard error (SE), and results for the terms of the linear regression model (adj R 2 = 0.26, F(11, 294) = 11, P < 0.001) for variation in the log-transformed annual average indoor 222Rn concentration of homes in radon-prone municipalities according to variation in the predictor variables: floor number (floor) + balanced ventilation or not (balanced vent) + installed radon measures or not (measures) + having a ventilated crawl space or not (crawlspace) + whether the home was included in the 2020 survey or not (2020 survey) + municipality
Parameter Estimate SE t Pr(>|t|)
Intercept 9.24 0.62 14.8 <0.0001
Floor −0.53 0.16 −3.33 <0.001
Balanced vent −0.88 0.19 −4.56 <0.0001
Measures −0.60 0.24 −2.55 <0.02
Crawlspace −0.69 0.30 −2.31 <0.03
2020 survey −0.62 0.24 −2.55 <0.02
Ulvik 0.15 0.15 0.95 >0.34
Drangedal 0.07 0.09 0.70 >0.48
Grane 0.10 0.08 1.37 >0.17
Nesbyen 0.10 0.05 2.00 <0.05
Ullensvang 0.16 0.04 3.83 <0.0002
Skjåk 0.10 0.03 3.28 <0.002
Note: The alternative to the survey term is being in the 2008 survey. For the municipalities, the first level is Tana. Helmert contrast is used for the municipality term, for which the factor level is ordered by increasing median value.

Fig 5
Fig. 5.  Boxplot showing the effect of building regulations of 2010 and the required preventive radon measures on annual average indoor 222Rn concentration. Figure legends on x-axis: 1.1: knowledge of installed measures and having other ventilation than balanced; 2.1: having knowledge of no installed measures and having other ventilation than balanced; 3.1: not knowing about installed measures and having other ventilation than balanced; 1.3: knowledge of installed measures and having balanced ventilation; 2.3: having knowledge of no installed measures and having balanced ventilation; 3.3: not knowing about installed measures and having balanced ventilation.

Importantly, statistically significant reductions of annual average 222Rn concentration from both having a balanced ventilation and from having installed a radon measure are suggested as separate main effects in our statistical model. In addition, there is a separate significant reducing effect from before and after the introduction of the 2010 building regulations in itself, which probably stems from other building-related standards introduced than the specific radon preventive measures. It is worth noting that the effect sizes of terms assessed so far are very similar. Moreover, some of the assessed municipalities were not significantly different when controlling for the other terms. Lack of significant differences is influenced by the high intra-municipality variation. With Helmert contrasts, significant differences between the municipalities showed, across both the 2008 and 2020 surveys, that in the high end, both Skjåk, Nesbyen, and Drangedal each had significantly higher levels than the other included municipalities. This, probably reflects different bedrock and geologies. It is known that the local geology and type of bedrock affect the levels of radon in soil gas and influx into homes (13). Thus, also within a municipality, there can be large differences in geology and bedrock and how radon prone different areas are. This could explain why radon levels were lower in 2008 homes where the owner had no knowledge about preventive measures (Fig. 5), as attitude and awareness could be lower in less radon-prone parts of the municipality and could help explain why only 59% in 2020 had knowledge of preventive measures. In addition, the locations of new constructions seldom have a uniform distribution within a municipality, while individual areas more often are developed piece by piece. All this may affect the results of this study, especially the results for each of the municipalities.

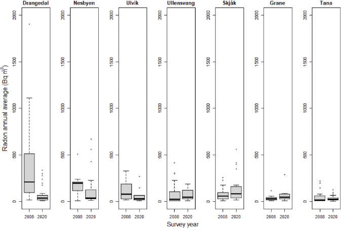
Looking only at 2020 levels (Fig. 6), there are still several outlier homes with levels higher than both action and maximum limits in all the radon-prone municipalities, and for the three municipalities Nesbyen, Ullensvang, and Skjåk, the 75th percentile exceeds the action limit. Compared to the Norwegian median and mean annual average 222Rn concentration in newly built homes nationwide (10), which are 25 and 40 Bq m–3, respectively, for detached houses, the current levels in the assessed radon-prone municipalities are higher. This indicates that more can be done with information and protective regulatory work in these radon prone areas. Even though homeowners’ awareness and rate of testing have increased from 2008 to 2020, there is room for improvement. If more homeowners measured radon and standby radon sumps were activated, even lower radon concentrations could be achieved.

Fig 6
Fig. 6.  Boxplot of annual average indoor 222Rn concentration per municipality in the 2020 survey.

Finally, the total number of measurements and homes included in the two surveys of this study are limited. The more samples that are included, the better these represent the true underlying distribution of parameters in the sampled population and the less uncertainty in parameter estimates they involve. Also, a statistical assessment with more samples can detect smaller differences as statistically significant. For data set with limited numbers of samples, differences need to be larger to be statistically significant. That means that our parameter-estimates could be somewhat biased by a limited sample size, but the observed statistically significant differences we observe we have no reason to doubt. To reduce uncertainty in parameter estimates, one should ideally include many more measurements to be sure that these patterns reflect the actual distributions and patterns across all homes in these radon prone areas.

Conclusions

Despite relatively finite data sets for the two surveys included in this study, the trends and results are relatively clear. The variation in annual average indoor 222Rn concentration between homes is readily explained by covariation in the applied predictor variables, showing an overall effect of the building regulations introduced in 2010 while accounting for separate effects of preventive radon-measures and balanced ventilation. The levels in these areas are, in general, as expected, higher than the Norwegian mean and median, but among the radon-prone municipalities, there are also statistically significant geographic differences reflecting their different geology.

Crawl space beneath homes in especially radon-prone municipalities may not in itself be enough to prevent levels above both action and maximum limits. Whether increased ventilation of crawl spaces in such areas could increase dilution and reduce indoor levels, or whether current regulation exceptions for buildings with crawl spaces are not optimal in radon-prone municipalities, is not known and should be further investigated.

The questionnaire answers from homeowners indicate a certain awareness of preventive radon-measures and testing, which is still too low, especially in radon-prone areas. Therefore, authorities should consider advising radon measurements in the first year of occupation, especially in such radon-prone areas. If more homeowners in these areas measured radon and standby radon sumps were activated, even lower radon concentrations could be achieved.

Acknowledgments

We thank the Euratom research and training programme for funding. For help proofreading by a native-speaking Englishman, we thank Tanya H. Hevroy.

References

  1. Nazaroff WW. Radon transport from soil to air. Rev Geophys 1992; 30(2): 137–60. doi: 10.1029/92RG00055
  2. Porstendörfer J. Properties and behaviour of radon and thoron and their decay products in the air. J Aerosol Sci 1994; 25(2): 219–63. doi: 10.1016/0021-8502(94)90077-9
  3. Tanner AB. Radon migration in the ground: a supplementary review. In: Gesell TF, Lowder WM, eds. Natural radiation environment III. vol 1. CONF-780422. Washington, DC: Department of Energy; 1980. pp. 5–56.
  4. UNSCEAR. Effects of ionizing radiation. Volume II, Annex E: sources-to-effects assessment for radon in homes and workplaces. UNSCEAR report to the General Assembly, with annexes. New York, NY: United Nations Scientific Committee on the Effect of Atomic Radiation; 2006.
  5. BEIR-VI. Health effects of exposure to radon. BEIR-VI report. Washington, DC: Committee on Health risks of Exposure to Radon. National Research Council; 1999.
  6. Darby S, Hill D, Auvinen A, Barros-Dios JM, Baysson H, Bochicchio F, et al. Radon in homes and risk of lung cancer: collaborative analysis of individual data from 13 European case-control studies. BMJ 2005; 330(7485): 223. doi: 10.1136/bmj.38308.477650.63
  7. Darby S, Hill D, Deo H, Auvinen A, Barros-Dios JM, Baysson H, et al. Residential radon and lung cancer – detailed results of a collaborative analysis of individual data on 7148 persons with lung cancer and 14,208 persons without lung cancer from 13 epidemiologic studies in Europe. Scand J Work Environ Health 2006; 32 Suppl 1: 1–83.
  8. NRPA. Strålevernets nye anbefalinger for radon i Norge: (in Norwegian). Østerås: Norwegian Radiation Protection Authority; Stråleverninfo 2009; 25.
  9. Norwegian Ministries. Strategy for the reduction of radon exposure in Norway. Oslo: Norwegian Ministry of Labour, Norwegian Ministry of Health and Care Services and Norwegian Ministry of Local Government and Regional Development. Norwegian Government Administration Services Publication; 2010.
  10. DIBK. Byggteknisk forskrift (TEK17) med veiledning (in Norwegian). 2017. Available from: https://dibk.no/byggereglene/byggteknisk-forskrift-tek17/ [cited 10 September 2021].
  11. Finne IE, Kolstad T, Larsson M, Olsen B, Prendergast J, Rudjord AL. Significant reduction in indoor radon in newly built houses. J Environ Radioact 2019; 196: 259–63. doi: 10.1016/j.jenvrad.2018.01.013
  12. Jensen CL, Sundal AV, Ånestad K. Radon i uteluft. Presentasjon av resultater fra radonmålinger i uteluft i seks utvalgte områder i Norge (in Norwegian). Strålevernrapport 2006; 20. (Østerås: Statens Strålevern).
  13. Watson RJ, Smethurst MA, Ganerød GV, Finne I, Rudjord AL. The use of mapped geology as a predictor of radon potential in Norway. J Environ Radioact 2017; 166: 341–54. doi: 10.1016/j.jenvrad.2016.05.031
  14. Strand T, Lunder Jensen C, Ånestad K, Ruden L, Beate Ramberg G. High radon areas in Norway. Int Congr Ser 2005; 1276(0): 212–4. doi: 10.1016/j.ics.2004.10.027
  15. Sundal AV, Henriksen H, Lauritzen SE, Soldal O, Strand T, Valen V. Geological and geochemical factors affecting radon concentrations in dwellings located on permeable glacial sediments – a case study from Kinsarvik, Norway. Env Geol 2004; 45(6): 843–58. doi: 10.1007/s00254-003-0944-5
  16. Sundal AV, Jensen CL, Anestad K, Strand T. Anomalously high radon concentrations in dwellings located on permeable glacial sediments. J Radiol Protect 2007; 27(3): 287–98. doi: 10.1088/0952-4746/27/3/003
  17. Sundal AV, Henriksen H, Soldal O, Strand T. The influence of geological factors on indoor radon concentrations in Norway. Sci Tot Environ 2004; 328(1): 41–53. doi: 10.1016/j.scitotenv.2004.02.011
  18. NRPA. Measurement protocol for radon in dwellings (In Norwegian). Østerås, Norway: Norwegian Radiation Protection Authority; 2013.
  19. NRPA. Kartlegging av radon i 114 kommuner (In Norwewgian). Østerås: Norwegian Radiation Protection Authority; Strålevernrapport 2001; 6.
  20. R Core Team. R: a language and environment for statistical computing. In: Computing RFfS. Vienna, Austria. Available from: https://www.R-project.org/.2016 [cited March 2021].
  21. Hegyi G, Laczi M. Using full models, stepwise regression and model selection in ecological data sets: Monte Carlo simulations. Ann Zool Fenn 2015; 52(5/6): 257–79. doi: 10.5735/086.052.0502
  22. Arvela H, Holmgren O, Reisbacka H. Radon prevention in new construction in Finland: a nationwide sample survey in 2009. Radiat Prot Dosimetry 2011; 148(4): 465–74. doi: 10.1093/rpd/ncr192
  23. Scivyer CR. Radon protection for new buildings: a practical solution from the UK. Sci Tot Environ 2001; 272(1): 91–6. doi: 10.1016/S0048-9697(01)00670-2