RESEARCH ARTICLE

Metrology aspects (sampling, storage, transportation, and measurement) of radon in water

Michalakis Omirou1, Alexandros Clouvas1* and Fokion Leontaris1,2

1Department of Electrical and Computer Engineering, Aristotle University of Thessaloniki, Thessaloniki, Greece;
2Institute for the Protection of Terrestrial Infrastructure, German Aerospace Center (DLR), Germany

Abstract

Background: Radon can enter homes using water during normal household activities, and it contributes to increasing the radon concentration of the adjacent space. Because of its gaseous form, it can easily escape during one of the procedures preceding its measurement (sampling, transport, and storage) and during its measurement resulting in its underestimation, which could lead to an underestimated dose calculation.

Objectives: This study focused on quantifying and evaluating radon losses during sampling, transporting, and storing radon in water samples. Also, in terms of measuring radon in water activity concentration, two emanometry methods were compared to the direct method of gamma-ray spectrometry.

Design and Methods: In terms of sampling, two methods were examined and compared. Road transport effect on radon losses was studied by measuring the radon in water concentration of radon-rich samples before and after their transportation at different ambient temperatures. Different materials (PET, glass, aluminum) were examined for their radon tightness by repetitive measurements and interpolation of the recorded data. Also, the effect of ambient temperature (1 to 40°C) on radon losses was studied during the storage phase. To compare radon in water measuring methods, water from the original bottle was poured carefully into the different sample containers that each method requires and measured by each method.

Results and Conclusions: Sampling is the factor that can cause the most significant radon losses. Radon tightness investigation of different materials showed no significant differences in their ability to preserve radon inside the container, as their fitting curves followed the literature radon decay curve. Ambient temperature (1 to 40 °C) did not appear to affect radon losses during the storage phase. Unlike the storage phase, significant radon losses were observed during road transport at ambient temperatures of 31°C and above. Therefore, measures should be taken to avoid radon losses for ambient temperatures of 31°C and above when road transport is considered (e.g., using thermally insulated boxes and cooling elements). From the comparison of the two emanometry methods with gamma-ray spectrometry, it was found that all methods provide equal results within standard uncertainties.

Keywords: radon measurements; radon losses; radon tightness; gamma-ray spectrometry; emanometry; ambient temperature

 

Citation: Journal of the European Radon Association 2022, 3: 8643 http://dx.doi.org/10.35815/radon.v3.8643

Copyright: © 2022 M. Omirou et al. This is an Open Access article distributed under the terms of the Creative Commons Attribution-NonCommercial 4.0 International License (http://creativecommons.org/licenses/by-nc/4.0/), permitting all non-commercial use, distribution, and reproduction in any medium, provided the original work is properly cited.

Published: 07 June 2022

Competing interests and funding: The authors declare no potential conflicts of interest.

*Alexandros Clouvas, Department of Electrical and Computer Engineering, Aristotle University of Thessaloniki, GR–54124 Thessaloniki, Greece. Email: clouvas@ece.auth.gr

 

Radon (222Rn) is a naturally occurring radioactive gas with a short half-life of 3.8232 ± 0.0008 days (1). It is found in various concentrations in air, soil, and different types of water, mainly due to migration from rocks and soil in contact with the water (2, 3). Radon can escape from water to indoor air during normal household activities, such as showering, dishwashing, and cooking, and contributes to increasing the radon concentration of the adjacent space (4). The primary health effect of radon is lung cancer, resulting from radon inhalation. There is also evidence that ingestion of radon can cause stomach cancer (4).

Unlike many other radionuclides present in drinking water, radon has unique characteristics (gas) and requires special considerations before and during its measurement. Because of its gaseous form, it can easily escape during one of the procedures (sampling, transport, and storage) preceding its measurement and during its measurement, resulting in an underestimation of its actual concentration (5). There are international standards (ISOs) referring to radon in water measurements, which provide general guidelines for sampling, transport, and storage and also provide guidance and information about its measuring methods (6).

During sampling, a considerable percentage of radon can be lost. In the ISO, as mentioned above, standards, some important considerations should be taken into account when sampling is carried out. The water flow must be adjusted to avoid turbulence and air bubbles in the sampling container. Also, the sampling container should be fully filled, so that no air bubbles are present after closing the container air-tight with the container cap.

According to ISO standards (6, 7) and Institut de radioprotection et de sûreté nucléaire (IRSN) (8), the sampling container shall be made from a material that is non-porous to radon (e.g. aluminum or glass) and resistant to pressure and temperature shock. Something that must be considered to minimize radon loss during storage and transport is the radon tightness of the container. Different materials such as plastics and glass were studied for radon tightness in the past. After 4 days of storage in PET and PE containers, 2 and 15–27% radon loss were observed, respectively (9). Below 5% radon loss was found from glass bottles after 5 days of storage (10). In a previous study, no significant radon loss was observed after storing in glass bottles at 45°C for 3 days (5).

When transport is required, the water temperature should be kept stable as it can influence the level of degassing and eventually radon loss during transport. As mentioned in the ISO standards (6), the container must be kept at low temperatures after sampling, preferably lower than the temperature at the time of sampling (but above 0°C to avoid freezing), to help preserve radon in the sample. The influence of regular air transport on radon loss was reported in a previous study, and no significant loss was found (5).

There are two approaches for measuring radon in water concentration. The direct approach of gamma-ray spectrometry and an indirect approach involve the transfer of radon from the aqueous phase to another phase before performing the measurement. The indirect approach involves either emanometry (gaseous phase) or liquid scintillation counting (liquid phase). It is worth mentioning that no specific measurement method is suggested by the WHO (11).

This study focuses on the quantification and evaluation of radon losses during sampling, storage, and transport procedures and the comparison of three different methods for measuring radon in water. The first method uses the direct approach of gamma-ray spectrometry, while the other two methods use the indirect approach of emanometry, where radon is transferred from the liquid to the gas phase.

Materials and methods

To conduct the study, all water samples were collected from the village of Arnea (40°29’10.7”N, 23°35’11.2”E) in Greece, whose location is shown in Fig. 1. Arnea is geologically known for its underlying granitic rocks (12). Granites usually have higher than average uranium content, and when water originates from granite formations, it could have elevated uranium and radon concentrations (13, 14). In Arnea, there is a borehole with increased radon concentrations (838 ± 86 Bq L–1). The samples were collected from a tap located just above the borehole.

Fig 1
Fig. 1. Location of Arnea village in Greece.

The measurements relating to the quantification and evaluation of radon losses during the procedures of sampling, transport, and storage were performed using a high purity germanium detector (HPGe) with a relative efficiency of 50%. For the determination of 222Rn activity concentration, the gamma-ray peaks of 214Pb (352 keV) and 214Bi (609 keV) were measured assuming secular equilibrium between 222Rn and its short-lived daughters. Gamma-ray spectrometry efficiency values were obtained experimentally using a multinuclide standard source. Radon tightness of different materials (PET, glass, and aluminum) was examined during the storage phase by repetitive measurements for more than 16 days and interpolating the data recorded. Specifically, for sampling and transport phases, only aluminum containers were used as recommended by the ISO standards (6, 7) and IRSN (8).

To compare different methods for measuring radon in water, three methods were examined. All samples were carefully collected from the original bottle and transferred to the vials each method demands. The homogeneity of radon inside the original bottle was studied several times to ensure that a sample of equal radon concentration (Bq L–1) was collected and transferred to each method’s vial. The first method uses the direct approach of gamma-ray spectrometry, while the other two methods use the indirect approach of emanometry, where radon is transferred from the liquid to the gas phase. The second method uses a continuous active radon monitor of Saphymo named ‘Alpha Guard’ (ionization chamber) with its Aquakit (includes accessories for measuring radon in water), while the third method uses an E-perm system (electret ion chamber) or an Airthings Corentium Home digital radon detector (alpha spectrometry) to measure radon concentration in water. The results of the last two methods were compared with the results obtained in the first method (gamma-ray spectrometry).

For gamma-ray spectrometry, an aliquot of water was carefully transferred from the original container into our standard sample counting container. Then, it was measured for its 222Rn activity concentration using the gamma-ray peaks of 214Pb (352 keV) and 214Bi (609 keV), assuming secular equilibrium between 222Rn and its short-lived daughters. No radon loss due to this transfer from the original container into our standard sample counting container has been found.

To determine radon activity concentration using Alpha Guard and its Aquakit, a water sample of 100 mL was carefully transferred into a gas-tight glass degassing vessel. After closing the loop, the Alpha pump is turned on, causing degassing of radon, which circulates through the air of the closed-loop, as shown in Fig. 2. As a result, radon passes through the ionization chamber of Alpha Guard, where it is measured. For the calculation of radon in water activity concentration, the following formula provided by the manufacturer was used (15):

Fig 2
Fig. 2. Complete Alpha Guard and Aqua kit measuring setup (15).



8643_E0001.jpg

Cwater = Radon concentration in a water sample [Bq L–1]

Cair = Radon concentration [Bq m–3] in the measuring setup after expelling the radon

C0 = Radon concentration in the measuring setup before sampling (background [Bq/m3])

Vsystem = Interior volume of the measurement setup [L]

VSample = Volume of the water sample [L]

k = Radon distribution coefficient water/air

The third method examined includes sealing a known volume of water in a jar and measuring the airborne radon concentration using an electret ion chamber (E-perm) radon monitor or a Corentium Home digital radon detector to calculate radon concentration in water. To crosscheck and verify the results of the third method, two configurations for each of the two measuring devices were examined. Table 1 illustrates the configurations.

Table 1. Configurations used for the third method measurements
First configuration Second configuration Third configuration Fourth configuration
8643_I0001.jpg 8643_I0002.jpg 8643_I0003.jpg 8643_I0004.jpg
Device’s name E-perm 1 E-perm 2 Corentium 1 Corentium 2
Jar used Radelec’s Custom Custom Custom
Detector used E-perm E-perm Airthings Corentium Airthings Corentium
Volume of the jar (L) 3.72 8 8 8
Volume of water (L) 0.134 0.212 0.065–0.5 0.065–0.5

For the calculation of radon activity concentration in water for the third method, the following formula provided by the manufacturer of E-perm was used (16):



8643_E0002.jpg

RWC = Radon concentration in a water sample (Bq L–1)

ARC = Average radon concentration in the analysis jar measured over the analysis period of T (days)

λ = Decay constant of 222Rn (d–1)

T = Analysis time (d)

VA = Volume of air in the analysis jar (L)

VW = Volume of water in the analysis jar (L)

OC = Ostwald coefficient

Table 2 shows the lowest detection limits and the combined standard uncertainties (k = 1) for the examined measuring methods. All methods comply with the detection limit requirement derived from the EURATOM Drinking Water Directive (17). They can measure radon in water activity concentrations down to 10 Bq L–1 as proposed by the Directive for the lowest detection limit in the case of 100 Bq L–1 radon parametric level.

Table 2. Lowest detection limits and combined standard uncertainties (k = 1) for the examined measuring methods
Method Lowest detection limit (Bq L–1) Range of combined measurement uncertainties (k = 1) (%)
Gamma-ray spectrometry 2 4–10
Alpha Guard 4a 5–12
E-perm 1 3.8b 6–14
E-perm 2 5b 6–14
Corentium 1 5 <15
Corentium 2 5 <15
aLowest detection limit using a 100 mL water sample at <13% error (k = 1).
bLowest detection limit for 3-day measurement period at <15% error (k = 1).

Results and discussion

Sampling

The sampling process took place in the village of Arnea in Greece. The borehole has its own tap from which the water samples were collected. Two sampling methods were examined to determine which method results in less radon losses. In the first method, the tap was connected to a water hose, and the hose was immersed in the bottom of the bottle, whereas in the second method, the samples were collected directly from the tap with the container directed toward the flux direction of flowing water as ISO 13164 suggests (6). The two main factors expected to affect radon losses during sampling are the flow rate of the water and the sampling method. These factors can cause bubble and vortex formation to different extents.

To verify the stability of 222Rn massic activity provided by the source (borehole) throughout the whole sampling process that lasted 87 min, seven samples were collected at different times during that period. All seven samples were collected with the same method (water hose immersed to the bottom of the bottle) and water flow rate (1.8 L ּ min–1), which was considered as a ‘reference’ combination. Figure 3 shows the time change of radon concentration in water provided by the source for the duration of the sampling procedure using the ‘reference’ combination. The results show no significant fluctuations in 222Rn concentration provided by the source; therefore, the results of the sampling experiments are not affected by this factor.

Fig 3
Fig. 3. Radon massic activity provided by the source during the whole sampling process using the ‘reference’ sampling combination.

To verify which sampling method is better (less radon losses) and evaluate radon losses dependency to the water’s flow rate, water samples were collected at four flow rates ranging from 1.8 L min–1 to 4.3 L min–1 for each of the sampling methods. The samples were then measured for their radon concentration using gamma-ray spectrometry. Four samples were collected and measured for every flow rate corresponding to each method (32 samples in total). The mean value of each group of four samples was then calculated. All mean values are normalized to the mean value of the ‘reference’ combination. Figure 4 shows the results.

Fig 4
Fig. 4. Normalized 222Rn massic activity to the activity measured with the ‘reference’ combination.

From the results shown in Fig. 4, it can be observed that when the sample is collected using the first method (hose immersed to the bottom of the bottle), no radon losses exist regardless of the water flow rate (<4.3 L min–1). In contrast, with the second method (directly from the tap), a decline of 222Rn concentration is observed, resulting in losses of 10 ± 3% at a water flow rate of 4.3 L ּ min–1 compared to the ‘reference’ combination.

The same experiment was repeated, using a different tap that could not provide as laminar water flow as the tap used in the first experiment. Figure 5 shows the results of this experiment.

Fig 5
Fig. 5. Normalized 222Rn massic activity to the activity measured with the ‘reference’ combination. Second experiment (different tap that could not provide as laminar water flow as the tap used in the first experiment).

From the results of the second experiment, it can be seen that when the water is collected directly from the tap, a considerable proportion of radon (34 ± 2%) is lost even with a low water flow rate (1.8 L min–1). Considering the results of both experiments, there is an uncertainty on the expected radon losses when water is collected directly from a tap. If the flow is not ideal, it leads to the formation of bubbles, which contributes to significant radon losses. Therefore, the water collection method with the hose immersed at the bottom of the bottle in both experiments is better as it results in no radon losses regardless of the water flow rate (<4.3 L ּmin–1).

Road transport

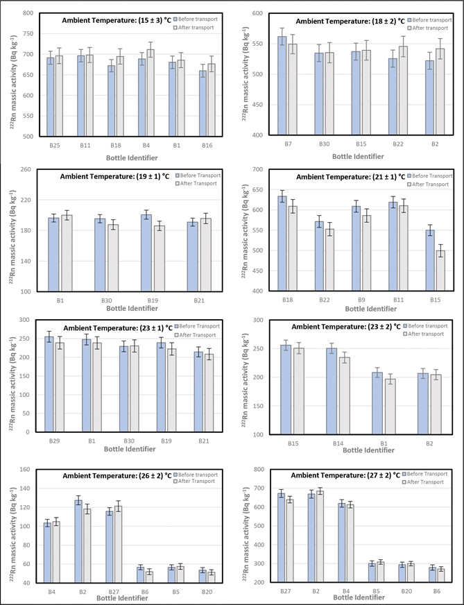
The effect of road transport in radon losses was examined when radon-rich water samples were sent from Thessaloniki (Northern Greece) to Almyros (Central Greece) and sent back to Thessaloniki, covering a total distance of 440 km. The same experiment was repeated 12 times in 1 year to cover a wide variety of ambient temperatures (15–34°C). For this experiment, the containers were fully filled, so no air gap was allowed in the containers for radon to escape from the water. During transports, no extra protection against heat exposure was taken. For each transport, aluminum containers were used. The radon massic activity of each container was measured by gamma-ray spectrometry before and after its road transport. The results of all transports are presented in Figs. 6 and 7. Table 3 presents the average radon losses for each transport.

Fig 6
Fig. 6. Results of the road transport experiment for ambient temperatures of 15–27°C. Temperature uncertainty is the standard deviation of ambient temperatures during transport.

Fig 7
Fig. 7. Results of the road transport experiment for ambient temperatures of 29–34°C. Temperature uncertainty is the standard deviation of ambient temperatures during transport.

Table 3. Average 222Rn losses for each transport
Transport number Ambient temperature (°C) Mean 222Rn losses (%)
1 15 ± 3 No loss within standard uncertainties
2 18 ± 2 No loss within standard uncertainties
3 19 ± 1 3 ± 2
4 21 ± 1 4 ± 2
5 23 ± 1 4 ± 2
6 23 ± 2 4 ± 3
7 26 ± 2 No loss within standard uncertainties
8 27 ± 2 No loss within standard uncertainties
9 29 ± 2 No loss within standard uncertainties
10 31 ± 2 12 ± 2
11 33 ± 2 10 ± 3
12 34 ± 2 10 ± 2

For ambient temperatures of 31°C (mean value) and above, more significant radon losses (10–12%) during transport were observed. Considering the present study results, measures should be taken for transporting temperatures of 31°C (mean value) and above to avoid significant radon losses (e.g. using thermally insulated boxes and cooling elements).

Storage – Radon Tightness

Radon tightness of different materials

To study the radon tightness of different materials (PET, glass, and aluminum), the containers were fully filled with radon-rich water and placed on the measurement instrument (HPGe detector). Measurement data were recorded for more than 16 days. The radon decay curves as a function of time were obtained from the recorded data. Using the MATLAB’s (18) curve fitting tool, the decay constants (λ) were obtained, from which the half-lives were then calculated. The containers were stored in the laboratory at a temperature of 19 ± 1°C. Table 4 shows the number of containers examined along with their characteristics. In total, 41 containers were examined.

Table 4. Containers used with their characteristics
8643_I0005.jpg 8643_I0006.jpg 8643_I0007.jpg 8643_I0008.jpg 8643_I0009.jpg 8643_I0010.jpg 8643_I0011.jpg 8643_I0012.jpg 8643_I0013.jpg
Name Reference Reagent bottle 1 Reagent bottle 2 Reagent bottle 3 Commercial bottle 1 Commercial bottle 2 Commercial bottle 3 Commercial bottle 4 Commercial bottle 5
Material Aluminum Glass Glass Glass PET PET PET PET PET
Volume (mL) 600 500 500 500 400 330 400 500 500
Cap type Screw Glass stopper Glass stopper Screw Screw Screw Screw Screw Screw
Quantity 6 5 5 3 5 5 4 4 4

The graphs in Fig. 8 show the radon decay curves as a function of time for one container of each type of container examined.

Fig 8
Fig. 8. Radon decay curves as a function of time for one container of each type of container examined.

Table 5 shows the aggregated results of the radon tightness study with the mean values of the half-lives for each type of container and the ratio of the mean half-life of each container type to the half-life of 222Rn (3.8232 days).

Table 5. Aggregated results of radon tightness of different materials study
Container’s name Material Number of containers examined Mean half-life (d) Ratio of mean half-life to 222Rn half-life
Reference Aluminum 6 3.7470 ± 0.0941 0.9800 ± 0.0246
Reagent bottle 1 Glass 5 3.7310 ± 0.0740 0.9759 ± 0.0193
Reagent bottle 2 Glass 5 3.8908 ± 0.0970 1.0176 ± 0.0253
Reagent bottle 3 Glass 3 3.8110 ± 0.2304 0.9968 ± 0.0603
Commercial bottle 1 PET 5 3.7308 ± 0.1407 0.9758 ± 0.0368
Commercial bottle 2 PET 5 3.8793 ± 0.0643 1.0147 ± 0.0168
Commercial bottle 3 PET 4 3.7827 ± 0.0422 0.9894 ± 0.0110
Commercial bottle 4 PET 4 3.8129 ± 0.0950 0.9973 ± 0.0248
Commercial bottle 5 PET 4 3.8180 ± 0.1042 0.9986 ± 0.0273

Considering the results shown in Table 5, the fitting curves of all containers follow the literature radon decay curve within their uncertainties. So, it can be said that in all containers, regardless of their construction material and cap type, no significant radon losses occur during their storage at the temperature of 19 ± 1°C.

Storage in different ambient temperatures

To investigate the effect of temperature on radon losses during storage, ‘Reference’ aluminum containers were stored in a fridge (1 ± 0.4°C), in the laboratory (21 ± 2°C) and in a climate chamber (40 ± 0.4°C) for more than 22 days. The containers were measured at different times for their 222Rn activity concentration during that period. The radon decay curves of all containers, as a function of time, were obtained from the recorded data. Using the MATLAB’s curve fitting tool, the decay constants (λ) were obtained, from which the half-lives were then calculated. In total, 12 containers were examined, four for each temperature. The graphs in Figure 9 show the radon decay curves as a function of time for one of the containers placed at each temperature.

Fig 9
Fig. 9. Radon decay curves as a function of time for one of the containers placed a) in a fridge (1 ± 0.4°C), b) in the laboratory (21 ± 2°C), and c) in a climate chamber (40 ± 0.4°C).

Table 6 shows the aggregated results of the effect of ambient temperature on radon losses during the storage phase, with the mean values of the half-lives of the containers examined at each temperature and the ratio of mean half-life at each temperature to the half-life of 222Rn (3.8232 days).

Table 6. Aggregated results of the effect of ambient temperature on radon losses during storage
Storage location Mean half-life (d) Ratio of mean half-life to 222Rn half-life
Fridge (1 ± 0.4)°C 3.8138 ± 0.0929 0.9975 ± 0.0243
Laboratory (21 ± 2)°C 3.8856 ± 0.0833 1.0163 ± 0.0218
Climate chamber (40 ± 0.4)°C 3.8270 ± 0.1174 1.0010 ± 0.0307

As seen in Table 6, the fitting curves follow the literature radon decay curve within their standard uncertainties. Therefore, the ambient temperature (1–40°C) does not seem to affect radon losses during the storage phase if the containers are fully filled, tightly capped, and if a proper storage container is used. It is worth mentioning, though, that significant radon losses were observed during the transport phase for ambient temperatures of 31°C and above. A possible reason for the relatively high radon loss during transportation at elevated temperatures is that the elevated temperatures caused the loosening of the plastic threads of caps and made them less gas-tight. The combination of loosened caps and vibration during transport may have caused this extra loss of radon.

Measuring radon in water

Comparison of radon in water measuring methods

To compare the three radon in water measuring methods, water from the original bottle was poured carefully into the different sample containers that each method requires. All samples were collected from Arnea. The comparison covered a wide range of radon in water concentrations from 6 up to 900 Bq L–1.

At first, to ensure that the same amount of radon is poured into the different sample containers that each method requires, water from a 600 mL container (original bottle) was poured carefully into six 100 mL volume vials. Then, each vial was measured for its radon activity concentration. The same experiment was repeated three times. Figure 10 shows the results.

Fig 10
Fig. 10. Homogeneity study of radon inside the original bottle.

From the results shown in Fig. 10, it can be said that the same amount of radon (within uncertainties) was poured into each of the 100 mL vials. Therefore, radon is homogeneously distributed in the original bottle, and the results of the comparison of radon in water measuring methods are not affected by this factor.

Figures 1116 present the correlation between each method and combination results with gamma-ray spectrometry results, along with the histograms of the relative frequency of the ratio of each method and combination results to gamma-ray spectrometry results. Also, the normal distribution fits of the histograms are provided, as they were obtained by MATLAB’s normal distribution fitting tool.

Fig 11
Fig. 11. Correlation between 222Rn activity concentration measured with gamma-ray spectrometry and Alpha Guard. Histogram of the relative frequency of the ratio of Alpha Guard to gamma-ray spectrometry measurement results with its normal distribution fit.

Fig 12
Fig. 12. Correlation between 222Rn activity concentration measured with gamma-ray spectrometry and E-perm 1. Histogram of the relative frequency of the ratio of E-perm 1 to gamma-ray spectrometry measurement results with its normal distribution fit.

Fig 13
Fig. 13. Correlation between 222Rn activity concentration measured with gamma-ray spectrometry and E-perm 2. Histogram of the relative frequency of the ratio of E-perm 2 to gamma-ray spectrometry measurement results with its normal distribution fit.

Fig 14
Fig. 14. Correlation between 222Rn activity concentration measured with gamma-ray spectrometry and Corentium 1. Histogram of the relative frequency of the ratio of Corentium 1 to gamma-ray spectrometry measurement results with its normal distribution fit.

Fig 15
Fig. 15. Correlation between 222Rn activity concentration measured with gamma-ray spectrometry and Corentium 2. Histogram of the relative frequency of the ratio of Corentium 2 to gamma-ray spectrometry measurement results with its normal distribution fit.

Fig 16
Fig. 16. Correlation between 222Rn activity concentration measured with E-perm 2 and E-perm 1. Histogram of the relative frequency of the ratio of E-perm 2 to E-perm 1 measurement results with its normal distribution fit.

The results in Table 7 show that all methods provide equal results within standard uncertainties. As seen in Table 7, in terms of accuracy, the mean ratios of the results of each method to gamma-ray spectrometry range from 1.02 to 1.07. In terms of precision, these ratios have standard deviations ranging from 11 to 14%. Both accuracy and precision of each method are considered acceptable. Previous studies (16, 19, 20) have found 15, 14, and 10% negative bias of the electret method relative to the liquid scintillation method, respectively.

Table 7. Comparison of each method to gamma-ray spectrometry
Method Number of measurements Mean ratio of method results to gamma-ray spectrometry results STDEV STDEV (%)
Alpha Guard 238 1.04 0.12 12
E-perm 1 108 1.02 0.12 12
E-perm 2 100 1.03 0.12 12
Corentium 1 52 1.03 0.11 11
Corentium 2 42 1.07 0.15 14

The reliability of each method was also checked by repetitive measurements of equal radon in water concentration samples. A set of four samples for each method (in total, 24 samples) were collected from the borehole in Arnea and measured for their radon-in-water activity concentrations in each method. The standard deviations for the sets of four measurements for each method were below 5%. Regarding the reliability of each method, it can be said that gamma-ray spectrometry is the most reliable because it does not require any phase transfer before measurement. According to the results, the emanometry methods are also reliable if a proper technique and caution are followed when handling the sample during the procedure preceding its measurement (transferring water to the degassing container). In terms of the reliability of the E-perm method, it is to be noted that 11% (12 of 111) of electrets used for the comparison with gamma-ray spectrometry showed an unexpected (higher than expected) voltage drop. Therefore, it is essential to perform two simultaneous measurements to minimize this risk with this method and increase its reliability.

Measuring radon in water using a 3”×3” NaI(Tl) detector

A method was developed to determine radon in water activity concentration by measuring the ambient dose equivalent rate (ADER). A 3” × 3” NaI (Tl) detector (RIIDEye M-G3) was placed in front of a 4L radon-rich water container, and the ADER value provided by the detector was obtained. After that, the background ADER value was measured and subtracted from the ADER value measured with the radon-rich water, so the net ADER value was obtained. The container was then opened and measured for its 222Rn activity concentration by gamma-ray spectrometry. The exact process was repeated 20 times with radon-rich water containers with activity concentrations from 71 to 674 Bq L–1. Figure 17 shows the correlation between the ADER value and the 222Rn activity concentration measured by gamma-ray spectrometry. A slope of (7.53 ± 0.07) 8643_I0014.jpg was found.

Fig 17
Fig. 17. Correlation of the ambient dose equivalent rate provided by the RIIDEye 3” × 3” NaI (Tl) detector with the radon in water activity concentration measured by gamma-ray spectrometry.

To apply this method, water was collected from municipalities and boreholes with high radon concentrations. After secular equilibrium was established between 222Rn and its daughters, the samples were first measured for their ADER value. Then, the containers were opened, and the water was measured for its 222Rn activity concentration using gamma-ray spectrometry. By multiplying the net ADER value with the calibration factor of 7.53 8643_I0014.jpg, radon in water concentration using the RIIDeye M-G3 detector was obtained. Table 8 shows the results from both RIIDEye and gamma-ray spectrometry.

Table 8. Application of the method of measuring radon concentration in water with a 3” × 3” RIIDEye M-G3 scintillation detector
Location RIIDEye M-G3 (Bq L–1) Gamma-ray spectrometry (Bq L–1)
Avgi (1st) 82 ± 11 89 ± 6
Avgi (2nd) 84 ± 11 87 ± 6
Lofiskos (1st) 231 ± 23 255 ± 13
Lofiskos (2nd) 199 ± 22 190 ± 11
Lofiskos (3rd) 166 ± 19 171 ± 10
Prasino Chorio (1st) 128 ± 17 136 ± 8
Prasino Chorio (2nd) 191 ± 21 203 ± 9
Arnea Mnimeio (1st) 804 ± 72 808 ± 32
Arnea Mnimeio (2nd) 766 ± 69 762 ± 30
Kerasia 588 ± 59 620 ± 25

As seen in Table 8, measuring radon in water concentration using the ADER value provides reliable results. It must be noted that this method can only be performed after secular equilibrium between 222Rn and its short-lived daughters is reached.

Conclusions

This study focused on the quantification and evaluation of radon losses during sampling, storage, and transport procedures and the comparison of three different methods for measuring radon in water. Sampling is the factor that can cause the most significant radon losses. From the comparison of the two sampling methods examined, it was found that the sampling method with the hose immersed to the bottom of the sampling container results in less radon losses than the method of collecting the sample directly from the tap, no matter the water flow rate, because the hose provides a laminar flow to the collected water. It also minimizes the bubble and vortex formation during sampling. It was found that radon losses are not affected by the water’s flow rate (<4.3 L min–1) when sampling is performed with the hose immersed to the bottom of the sampling container. It was observed that there is an uncertainty to radon losses when the sample is collected directly from the tap when using different taps even with the same sampling water flow rate because of the randomness of the flow quality between different taps. Therefore, sampling directly from the tap should be avoided because it could lead to a significant underestimation of the actual radon activity concentration in water.

During 440 km road transport, significant radon losses (10–12%) were observed at ambient temperatures of 31°C (mean value) and above. Therefore, measures should be taken to avoid radon losses for ambient temperatures of 31°C (mean value) and above when road transport is considered (e.g. using thermally insulated boxes and cooling elements). It is worth mentioning that all containers were fully filled without headspace.

Radon tightness investigation of different materials (glass, PET, and aluminum) showed that all materials could preserve radon into the container, as their fitting curves follow the literature decay curve of radon. The effect of ambient temperature during the storage phase was studied, and no significant differences were found for storage temperatures from 1 to 40°C.

In terms of measuring radon in water, methods based on gamma-ray spectrometry and emanometry were tested and verified. The methods are straightforward and capable of providing accurate results about radon concentrations in water.

References

  1. Bé M-M, Chisté V, Dulieu C, Browne E, Chechev V, Kuzmenko N, et al. Table of radionuclides (Vol. 4-A = 133 to 252), Monographie BIPM-5, Vol. 4. Bureau International des Poids et Mesures; Sèvres, France; 2008.
  2. Kitto ME, Kuhland MK, Dansereau RE. Direct comparison of three methods for the determination of radon in well water. Health Phys 1996; 7(3): 358–62. doi: 10.1097/00004032-199603000-00005
  3. Fonollosa E, Peñalver A, Borrull F, Aguilar C. Radon in spring waters in the south of Catalonia. J Environ Radioact 2016; 151: 275–81. doi: 10.1016/j.jenvrad.2015.10.019
  4. Chen J. A discussion on issues with radon in drinking water. Radiat Protect Dosimet. 2019; 185(4): 526–31. doi: 10.1093/rpd/ncz035
  5. Jobbágy V, Stroh H, Marissens G, Hult M. Comprehensive study on the technical aspects of sampling, transporting and measuring radon-in-water. J Environ Radioact. 2019; 197: 30–8. doi: 10.1016/j.jenvrad.2018.11.012
  6. ISO 13164. Water quality – Radon-222 – Part 1–3. Geneva; 2013.
  7. ISO 5667-1. Water quality – Sampling – Part 1: Guidance on the design of sampling programmes and sampling techniques. International Organization for Standardization; Geneva; 2020.
  8. Institut de radioprotection et de sûreté nucléaire. IRSN Proficiency Test «Measurement of Radon-222 activity in water ». Available from: https://www.fishersci.fr/shop/products/aluminum-bottles-tamper-evident- [cited 10 Nov 2021].
  9. Lucchetti C, de Simone G, Galli G, Tuccimei P. Evaluating radon loss from water during storage in standard PET, bio-based PET, and PLA bottles. Radiat Meas. 2016; 84: 1–8. doi: 10.1016/j.radmeas.2015.11.001
  10. Vesterbacka P, Pettersson H, Hanste UM, Jakobson E, Kolstad T, Roos P, et al. Intercomparison of Rn-222 determination from groundwater. Appl Radiat Isotopes. 2010; 68(1): 214–18. doi: 10.1016/j.apradiso.2009.10.008
  11. WHO. Guidelines for Drinking-water quality. 4th ed. incorporating the 1st attendum. World Health Organization; Geneva; 2017.
  12. Louizi A, Nikolopoulos D, Koukouliou V, Kehagia K. Study of a Greek area with enhanced indoor radon concentrations. Radiat Protect Dosimetry; 2003; 106. [cited 15 November 2021]. Available from: http://rpd.oxfordjournals.org/
  13. Otton J. The geology of radon. USGS Publications Warehouse; Washington, DC; 1992.
  14. Amrani D, Cherouati DE, Cherchali MEH. Groundwater radon measurements in Algeria. J Environ Radioact. 2000; 51: 173–180. doi: 10.1016/S0265-931X(99)00121-6
  15. Saphymo. AlphaGuard AquaKIT Product Manual. 2010.
  16. Kotrappa P, Jester WA. Electret ion chamber radon monitors measure dissolved 222Rn in water. Health Phys 1993; 64(4): 397–405. doi: 10.1097/00004032-199304000-00007
  17. EURATOM. Council Directive 2013/51/Euratom of 22 October 2013 laying down requirements for the protection of the health of the general public with regard to radioactive substances in water intended for human consumption. Official Journal of the European Union; Luxembourg; 2013.
  18. MATLAB version 9.9.0.1467703 (R2020b). Natick, MA: The Mathworks Inc; 2020.
  19. Kitto M, Haines D, Fielman E, Menia T, Bari A. Assessment of the E-PERM radon-in-water measurement kit. American Association of Radon Scientists and Technologists 2007 Proceedings of the 2007 AARST International Symposium. Jacksonville, FL; 2008.
  20. Tai-Pow J, Lee J, Bitanga JM, Gilmer K. The determination of dissolved radon in water supplies by the E-PERM system (Electret ionization chamber). Int J Radiat Appl lnstrum A. 1992; 43(1): 95–101. doi: 10.1016/0883-2889(92)90082-p