ORIGINAL ARTICLE

Time variation of radon in tap water in locations of a Greek area with geological background for elevated radon-in-water concentrations and correlation study between radon, gross alpha, uranium, and radium concentrations

Michalakis Omirou1, Fokion Leontaris1,2, Dimitrios C. Xarchoulakos3, Konstantina Kehagia3, Alexandros Clouvas1* and Constantinos Potiriadis3

1Department of Electrical and Computer Engineering, Aristotle University of  Thessaloniki, Thessaloniki, Greece;
2Institute for the Protection of Terrestrial Infrastructure, German Aerospace Center (DLR), Cologne, Germany;
3Greek Atomic Energy Commission, Agia Paraskevi, Greece

Abstract

Background: Radon (222Rn), a naturally occurring radioactive gas, dissolves in water, and it can be found in elevated concentrations in public water supplies when water originates from ground sources in areas rich in uranium. An area of great interest for measuring radon-in-water is the Migdonia basin in Northern Greece due to its geological background and because all of its villages are supplied with water from boreholes.

Objectives: The main aim of this paper was to study the time variation of radon in tap water activity concentration in nine villages of the Migdonia basin supplied with water from boreholes and to determine factors that may affect it. Radon in water correlation between the source (borehole) and the consumption point (tap) was studied for some villages. Also, the correlation among radon, gross alpha, beta, uranium (238U), and radium (226Ra) activity concentration in water was studied.

Design and methods: Water samples were collected and measured for their radon activity concentration from 66 villages in the Migdonia basin in order to find places with relatively high radon concentrations. The time variation of radon-in-water was studied for villages that showed relatively high radon concentrations for 3–4 years (2018–2022). All samples were measured for their 222Rn activity concentration using gamma-ray spectrometry. Water samples were also analyzed for their gross alpha, beta, and uranium isotopes activity concentration.

Results and conclusions: Average radon in tap water activity concentrations measured in the area ranged from background concentrations to 185 Bq L-1. The corresponding annual effective doses from waterborne radon inhalation using both UNSCEAR and ICRP dose conversion factors ranged from 0.01 to 0.466 mSv y-1 and from 0.02 to 0.868 mSv y-1, respectively, while radon ingestion annual effective doses varied from 0.007 to 0.324 mSv y-1. Time variation of radon activity concentration in tap water for villages supplied from one borehole or a constant number of boreholes showed relatively low standard deviations (<24%) at a coverage factor of k = 1. Those deviations are probably caused by the time variation of boreholes’ radon concentration and water demand changes. A significant decline in radon concentration from the source (borehole) to the consumption point (tap water) was observed. Therefore, sampling should be performed at the consumption point. However, knowing the supplying borehole concentration is useful as it determines the potential for radon in drinking water. No apparent correlation was found among radon, gross alpha, beta, uranium, and radium concentrations in water. However, in some cases, remedial actions (withdrawal of boreholes) for uranium concentration also decreased radon concentration.

Keywords: natural radioactivity; radon-in-water; time variation; borehole (source); tap water (consumption point); effective dose

 

Citation: Journal of the European Radon Association 2022, 3: 8865 http://dx.doi.org/10.35815/radon.v3.8865

Copyright: © 2022 Michalakis Omirou et al. This is an Open Access article distributed under the terms of the Creative Commons Attribution-NonCommercial 4.0 International License (http://creativecommons.org/licenses/by-nc/4.0/), permitting all non-commercial use, distribution, and reproduction in any medium, provided the original work is properly cited.

Published: 14 November 2022

Competing interests and funding: The authors declare no potential conflicts of interest.

*Alexandros Clouvas, Department of Electrical and Computer Engineering, Aristotle University of Thessaloniki, GR-54124 Thessaloniki, Greece. Email: clouvas@ece.auth.gr

 

Drinking waters generally contain variable amounts of radioactivity from natural or anthropogenic sources. Many radionuclides, especially those belonging to the natural decay series of thorium and uranium, are transferred into the water from the aquifer rocks by erosion and dissolution mechanisms and are more commonly detected in supplies derived from groundwater sources (1). While surface waters are exposed to artificial radionuclide contamination caused by radioactive fallout, in groundwaters, usually only natural radionuclides can be detected.

Water ingestion is one of the pathways of incorporating radioactive substances into the human body. That is why in recent years, a great interest arose toward radioactivity in drinking water. The Council Directive 2013/51/EURATOM of 22 October 2013 (2) laying down requirements for the protection of the health of the general public concerning radioactive substances in water intended for human consumption, which has been transported in the Greek legislation in 2016, obliged public authorities to organize drinking water surveys throughout the country. The Directive lays down values for radon, tritium, and the indicative dose, which covers many other radionuclides (2).

Radon (222Rn), a naturally occurring radioactive gas, is of great interest when considering radioactivity in drinking water, mainly when water derives from ground sources. It can be found in elevated concentrations when water municipality supplies derive from natural springs, boreholes, or wells (3). Radon dissolves in water, and, therefore, when the water used for human consumption comes from groundwater in areas where the rocks are rich in uranium (238U), the radon concentrations in the water can be particularly significant (4). It is known that some types of rocks have higher uranium concentrations. These include volcanic rocks, granites, dark shales, sedimentary rocks that contain phosphate, and metamorphic rocks derived from these rocks (5).

Human exposure to radon from domestic water use can occur through ingestion and inhalation, with the latter being the most important (6). Radon becomes airborne from water during its different uses in homes, like showering, dishwashing, and cooking. Previous studies have estimated that 10 Bq L-1 of radon (222Rn) in water contributes to an increase of 1 Bq m-3 of radon in indoor air (7).

An area of great interest for measuring radon-in-water due to its geological background and because most of its villages are supplied from boreholes is the Migdonia basin in Northern Greece. A previous study conducted in this area in 1999 showed that radon concentrations in drinking tap water ranged from background concentrations to 170 Bq L-1 (8).

This study aims to determine the radon-in-water activity concentration in most locations (villages) in the Migdonia basin, to find places with relatively high radon concentrations, and to assess the annual effective dose from inhalation and ingestion of waterborne radon. Also, the time variation of radon-in-water concentration was monitored (for 3–4 years) in nine locations that showed relatively high radon concentrations to point out factors that may affect it. Water samples from locations that showed relatively high radon concentrations were analyzed for their gross alpha, beta, and uranium isotopes activity concentrations. An attempt was made to correlate radon-in-water activity concentration with gross alpha, beta, uranium (238U), and radium (226Ra) concentrations in water.

Materials and methods

Study area and sampling method

Granitic and igneous granitoid bodies with elevated concentrations of natural radioactive elements exist around the Migdonia basin. The water supply for the population (50367 inhabitants) of this area derives from boreholes located in the basin sediments and the metamorphic rocks and granites. Some locations (villages) are supplied with water from more than one borehole. Drinking tap water from 66 locations in the Migdonia basin was collected and measured from 2018 to 2022. Nine locations that showed relatively high radon concentrations were measured more than once for 3–4 years (2018 to 2022) to study the time variation of their radon-in-water concentration. The radon-in-water concentration of supplying boreholes for some of these places was also measured.

All water samples were carefully collected with a sampling method previously checked by the authors for its reliability (9). The sampling method involves the connection of the tap to a water hose and immersing the water hose in the sampling container. Before collecting the sample, water was left to flow at a high rate for 10 min to obtain fresh water. Aluminum sampling containers were used as they are non-porous to radon (1012). The containers used were previously checked for their radon tightness and showed no loss of radon within standard uncertainties as their fitting curves followed the literature radon decay curve (9). The containers were fully filled, and no space was left for radon to escape after closing the containers with their cap. Figure 1 shows the locations (villages) from which the water samples were collected.

Fig 1
Fig. 1. The location of water sampling sites (villages) in the Migdonia basin in Northern Greece. The numbers are the identification (ID) numbers of the villages (1–66).

Radon in the water measurement method

All water samples were measured for their radon activity concentration using gamma-ray spectrometry with a high purity germanium detector (HPGe) of 50% relative efficiency at 1,332 keV. The samples were transferred carefully from the original (aluminum) sampling container into our standard sample counting container to measure radon-in-water activity concentration. No radon loss due to this transfer from the original container into our standard sample counting container has been found (9). Our standard sample counting container is a cylindrical container of 260 mL capacity. Radon (222Rn) activity concentration was determined using the gamma-ray peaks of 214Pb (352 keV) and 214Bi (609 keV) after secular equilibrium between 222Rn and its short-lived daughters (214Pb and 214Bi) was established. Gamma-ray spectrometry efficiency values were obtained experimentally using a multinuclide standard source. The counting time depends on the activity concentration of each sample. Our gamma-ray spectrometry method’s detection limit (DL) is 2 Bq L-1.

Annual effective dose due to radon-in-water inhalation and ingestion

Radon in drinking tap water leads to exposure from the ingestion of drinking water and from the inhalation of radon released into the air when water is used.

Annual effective dose due to ingestion of radon in water

The annual effective dose due to ingestion of radon-in-water was calculated using the relationship:

JERA-3-8865-E1.jpg

where DCFing is the ingesting dose conversion factor of 222Rn, CW,avg is the average radon-in-water concentration (Bq L-1), and Cw,rate is the water consumption rate consumed directly from the tap per year (L y-1). According to UNSCEAR (7), DCFing and Cw,rate for adults are equal to 3.5 nSv Bq-1 and 500 L y-1, respectively. 10-6 is the unit conversion factor from nSv to mSv.

Annual effective dose due to inhalation of radon released from tap water

The annual effective dose due to inhalation of radon released from tap water was calculated using the relationship:

JERA-3-8865-E2.jpg

where DCFinh is the dose conversion factor for inhalation of 222Rn, CW,avg is the average radon in water concentration (Bq L-1), T is the average indoor occupancy time per person (7,000 h y-1), 10-4 is the ratio of radon in the air to water, and 0.4 is the equilibrium factor between radon and its daughters. According to UNSCEAR (13) and ICRP (14), the dose conversion factors for the inhalation of 222Rn are 9 JERA-3-8865-E3.jpg and 16.75 JERA-3-8865-E4.jpg, respectively. 103 is the conversion factor from JERA-3-8865-E5.jpg, and 10-6 is the unit conversion factor from nSv to mSv.

Gross alpha, beta, and uranium isotopes activity concentrations

All chemical reagents were of analytical grade. Three-liter water samples were collected by laboratory personnel in 2020. After filtering, the water samples were acidified with nitric acid to a pH of about 2.0 at the laboratory on the same day of reception and stored for later analysis. Alpha/beta activity and uranium isotopes analysis were performed in 10 samples, and 210Po and 226Ra analysis in the same.

Alpha/beta activity measurement

The samples were prepared according to the ISO 11704 (15) ‘Water Quality-Gross alpha and gross beta activity-Test method using liquid scintillation counting’. The prepared samples, 6 mL sample mixed with 14 mL scintillation cocktail ULTIMA GOLD AB, were transferred in polyethylene scintillation vials with a 20 mL capacity and measured by a Quantulus scintillation counter for 600 min. The method’s DLs are 0.04 and 0.1 Bq L-1 for alpha and beta activity, respectively.

Uranium isotopes 226Ra and 210Po were measured by alpha-spectrometry. The equipment used is a fully automated and integrated alpha spectroscopic system (AAnalyst, Canberra), consisting of 24 Passivated Implanted Planar Silicon (PIPS) detectors with a 600 mm2 active area. Detection counting efficiency is about 26%. The counting time depends on the activity concentration of each sample. The uncertainties were calculated according to ISO 11929-2 (16). The addition of the tracers 232U, 229Th, and 209Po allows the determination of the activity concentration, and the chemical yield of the uranium isotopes 226Ra and 210Po. The chemical recovery for uranium was found to vary between 90 and 99%, for 226Ra between 48 and 75%, and for 209Po between 85 and 95%, respectively.

Results and discussion

Radon-in-water activity concentrations and effective doses in the Migdonia basin

A total of 268 tap water samples from 66 locations in the Migdonia basin were collected and analyzed for their radon activity concentration during a 4-year period (2018–2022). Each location in the Migdonia basin is supplied with water either from one or more boreholes. Table 1 presents the average radon in tap water activity concentrations measured in each location in the Migdonia basin, along with the coordinates, measurement period, number of measurements, and minimum and maximum radon concentrations observed over the measurement period. Also, the calculated annual effective doses resulting from inhalation and ingestion of waterborne radon are presented. As seen in Table 1, the average 222Rn tap water activity concentrations in the studied area range from background concentrations up to 185 Bq L-1. This wide range observed in tap water radon concentrations is also a sign of a significant wide range among the radon concentrations of boreholes supplying these locations. Two locations showed average radon concentrations higher than the parametric value of 100 Bq L-1 adopted by Greece in accordance to EURATOM (2). EURATOM sets a range of parametric values between 100 and 1,000 Bq L-1 and states that the ‘Remedial action is deemed to be justified on radiological protection grounds, without further consideration, where radon concentrations exceed 1,000 Bq/L-1’. Although only two of the 66 locations showed average radon-in-water concentrations higher than the parametric value, four other locations overcame the parametric value at least once through the measurement period. The annual effective doses from ingestion of radon ranged from 0.007 to 0.324 mSv y-1. Regarding radon inhalation, the annual effective doses ranged from 0.01 to 0.466 mSv y-1 using the UNSCEAR dose conversion factor and from 0.02 to 0.868 mSv y-1 using the ICRP dose conversion factor.

 

Table 1. Radon in tap water activity concentration of locations (villages) in the Migdonia basin along with the annual effective doses resulting from inhalation and ingestion of waterborne radon
Location ID Latitude Longitude Measurement period Number of measurements Average 222Rn concentration (Bq L-1) STDEV a (k = 1) Min (Bq L-1) Max (Bq L-1) AEDinh b (mSv y-1) AEDinh c (mSv y-1) AEDing (mSv y-1)
1 40.75760500 23.25401500 Mar-2019 – Jun-2022 24 69 15 46 114 0.174 0.324 0.121
2 40.75021700 23.38737500 Jun-2020 – Jun-2022 24 64 14 31 89 0.160 0.298 0.111
3 40.81417200 23.31297400 Oct-2018 – Jun-2022 31 90 17 63 128 0.228 0.424 0.158
4 40.81755000 23.35532100 Jan-2019 – Jun-2022 33 48 15 23 104 0.121 0.225 0.084
5 40.77426000 23.22248600 Mar-2019 – Jun-2022 28 185 35 89 239 0.466 0.868 0.324
6 40.83646000 23.20453300 Jan-2020 – Jun-2022 10 83 28 31 123 0.209 0.388 0.145
7 40.69285000 23.33196800 Aug-2019 – Feb-2022 6 33 8 22 44 0.084 0.157 0.058
8 40.62575600 23.44049300 Apr-2018 – Jun-2022 18 25 24 2 97 0.063 0.117 0.044
9 40.66125800 23.34167600 Apr-2018 – Jun-2022 15 13 4 7 23 0.033 0.061 0.023
10 40.62578366 23.49315243 May-2021 1 38 4 38 38 0.095 0.176 0.066
11 40.78266390 23.52758880 Dec-2020 1 7 1 7 7 0.017 0.032 0.012
12 40.62608456 23.60979213 May-2021 1 15 2 15 15 0.038 0.070 0.026
13 40.72237900 23.28457500 Mar-2019 – Feb-2022 5 38 11 19 51 0.096 0.179 0.067
14 40.62117493 23.56104350 May-2021 1 6 1 6 6 0.016 0.029 0.011
15 40.71116600 23.38122100 Jan-2019 – Nov-2021 2 65 20 51 79 0.164 0.305 0.114
16 40.80728810 23.51833560 Dec-2020 1 9 1 9 9 0.023 0.043 0.016
17 40.76110630 23.58948490 Dec-2020 1 5 1 5 5 0.012 0.023 0.009
18 40.64731500 23.30457400 Feb-2019 – Sep-2020 3 38 10 29 52 0.096 0.179 0.067
19 40.70602180 23.69714660 Dec-2020 1 9 1 9 9 0.024 0.044 0.016
20 40.59865500 23.47380000 Mar-2019 – Sep-2020 2 15 2 15 15 0.038 0.071 0.026
21 40.75945000 23.44690800 Oct-2018 – Dec-2020 2 19 5 14 24 0.048 0.090 0.033
22 40.66417200 23.69626500 Sep-2017 – May-2021 5 13 2 11 15 0.032 0.060 0.022
23 40.69621900 23.42723600 Sep-2018 1 12 1 12 12 0.030 0.056 0.021
24 40.67769600 23.56053200 Mar-2019 1 10 1 10 10 0.026 0.048 0.018
25 40.74993400 23.47015300 Oct-2018 1 11 1 11 11 0.027 0.050 0.019
26 40.68712300 23.27806600 Jan-2019 – Feb-2022 4 11 1 9 13 0.027 0.050 0.019
27 40.73562300 23.54530300 Oct-2018 1 8 1 8 8 0.020 0.037 0.014
28 40.68907600 23.60916800 Mar-2019 1 12 1 12 12 0.030 0.056 0.021
29 40.65943200 23.60722300 Mar-2019 1 15 2 15 15 0.037 0.068 0.026
30 40.74282000 23.58918800 Oct-2018 – Dec-2020 2 7 1 6 8 0.019 0.035 0.013
31 40.76220080 23.48305040 Jan-2020 – Dec-2020 2 16 7 9 23 0.039 0.073 0.027
32 40.66419300 23.11641700 Sep-2020 1 16 2 16 16 0.041 0.077 0.029
33 40.57895396 23.23185700 Feb-2021 1 13 1 13 13 0.033 0.061 0.023
34 40.55570700 23.30102200 Mar-2019 1 8 1 8 8 0.020 0.038 0.014
35 40.72102500 23.17467100 Mar-2019 1 9 1 9 9 0.021 0.040 0.015
36 40.59576100 23.18206500 Sep-2020 1 7 1 7 7 0.018 0.033 0.012
37 40.82070000 23.03160000 Feb-2020 1 24 2 24 24 0.060 0.111 0.041
38 40.88362900 23.22821600 Jan-2020 1 10 2 10 10 0.025 0.046 0.017
39 40.83849500 23.17146900 Feb-2020 1 34 5 34 34 0.086 0.160 0.060
40 40.88614800 23.10213400 Feb-2020 1 34 5 34 34 0.084 0.157 0.059
41 40.86569100 23.00558500 Feb-2020 1 12 2 12 12 0.031 0.057 0.021
42 40.57196400 23.28756500 Apr-2019 – Feb-2021 2 13 3 10 16 0.033 0.062 0.023
43 40.75754500 23.03982000 Feb-2020 1 6 2 6 6 0.015 0.029 0.011
44 40.63744200 23.24571000 Sep-2020 1 5 1 5 5 0.013 0.024 0.009
45 40.76009900 23.37732600 Sep-2018 1 119 8 119 119 0.300 0.558 0.208
46 40.71120000 23.04110000 Feb-2020 1 5 1 5 5 0.013 0.024 0.009
47 40.84100000 22.98200000 Feb-2020 1 8 2 8 8 0.021 0.038 0.014
48 40.72240000 23.00530000 Feb-2020 1 7 2 7 7 0.017 0.032 0.012
49 40.73519800 23.15900100 Nov-2019 1 6 1 6 6 0.014 0.027 0.010
50 40.81556400 23.28041900 Nov-2019 1 <DL 0 1 1 0.001 0.002 0.001
51 40.81556400 23.28041900 Nov-2019 1 19 2 19 19 0.048 0.089 0.033
52 40.92667900 23.05700400 Feb-2020 – Jan-2021 2 7 0.4 6 7 0.017 0.031 0.012
53 40.85412200 23.10916700 Feb-2020 1 29 6 29 29 0.073 0.135 0.050
54 40.90992506 23.08355372 Jan-2021 1 9 2 9 9 0.022 0.041 0.015
55 40.56795648 23.35385987 Feb-2021 1 73 5 73 73 0.183 0.341 0.127
56 40.55499300 23.37225000 Mar-2019 – Feb-2021 2 19 10 9 30 0.049 0.091 0.034
57 40.63611900 23.27316400 Dec-2018 1 22 3 22 22 0.054 0.101 0.038
58 40.88743800 23.18077100 Jan-2022 1 7 1 7 7 0.016 0.030 0.011
59 40.92803400 23.17883900 Jan-2020 – Jan-2022 2 39 22 17 61 0.098 0.182 0.068
60 40.62831000 23.21471500 Dec-2018 1 7 1 7 7 0.017 0.031 0.012
61 40.74594600 23.03567300 Jun-2021 1 6 1 6 6 0.015 0.028 0.011
62 40.81786800 23.11528900 Jan-2020 1 6 1 6 6 0.016 0.029 0.011
63 40.80978900 23.15592200 Jan-2020 1 6 1 6 6 0.015 0.028 0.011
64 40.63582500 23.19172500 Feb-2019 1 17 2 17 17 0.042 0.077 0.029
65 40.76482600 23.08108900 Jan-2020 1 11 2 11 11 0.028 0.053 0.020
66 40.88945900 23.25850000 Feb-2020 1 4 1 4 4 0.010 0.018 0.007
aSTDEV is the standard deviation of the average value of measurements for locations measured more than once, while for locations measured only once is the combined measurement uncertainty at a coverage factor of k = 1.
bUsing UNSCEAR dose conversion factor.
cUsing ICRP dose conversion factor.

Comparing this study’s results with a previous study conducted in the same area in 1999 (8), the most significant differences are observed in locations 8, 9, and 18. Radon in tap water measured in Location 8 in 1999 was 101 Bq L-1, while the average value of the concentration measured in the context of the present study is 25 Bq L-1. This difference is due to a withdrawal of a borehole used to supply the village in 1999. Locations 9 and 18 also showed a significant decline in their radon concentrations as their concentrations dropped from 170 and 112 Bq L-1 to 13 and 38 Bq L-1, respectively. Most probable boreholes with elevated radon concentrations used to supply these villages in the past have been withdrawn.

Time variation of radon-in-water activity concentrations in selected villages

The time variation (3–4 years) of radon-in-water activity concentration was studied in nine locations (supplied from boreholes) of the Migdonia basin and presented in Figures 24. For some of these locations, the radon concentration of their water-supplying boreholes was also measured and presented in Table 2. Table 2 also shows the locations’ tap water radon concentrations as measured on the same day of their supplying boreholes measurement. For some locations supplied from more than one borehole, the water supply does not always derive from all the boreholes. Mainly, for these locations, the water demand determines the participation of boreholes in their water supply. Also, a change in the number of boreholes supplying a location can occur, e.g. due to a problem relating to the water supply system. Locations provided with water from more than one borehole receive a mixture of water from the boreholes as it mixes in tanks before reaching the tap water of the place.

 

Table 2222Rn in water activity concentration measured in the tap water of locations (points of consumption) and in supplying boreholes (sources)
Location ID Supplying borehole’s ID Supplying borehole’s 222Rn concentration (Bq L-1) Drinking tap water 222Rn concentration (Bq L-1)d Average 222Rn in location (Bq L-1) St.dev (k = 1) Min 222Rn in location (Bq L-1) Max 222Rn in location (Bq L-1)
1 a 97 ± 6 62 ± 4 69 15 46 ± 3 112 ± 7
2 b 217 ± 21a 131 ± 13b 64c 14c 31 ± 2.4c 89 ± 8c
c 62 ± 7
d 132 ± 13
e 83 ± 4
3 f 157 ± 9 84 ± 5.3 91 17 63 ± 5 128 ± 8
g 29 ± 2.4
5 k 389 ± 19 203 ± 10 185 35 89 ± 8 239 ± 13
aBorehole was withdrawn before June 2020 due to its 238U concentration.
bBefore the withdrawal of borehole b.
cAfter the withdrawal of borehole b (from June 2020 to June 2022).
dMeasured on the same day of supplying boreholes measurement.

Fig 2
Fig. 2. Time variation of radon-in-water activity concentration for 3–4 years in Locations 1–4 in the Migdonia basin.

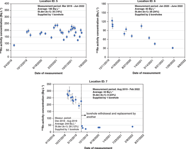
As seen in Figures 2 and 3, locations 1 and 5, supplied by one (different for each location) borehole, showed standard deviations for their average 222Rn activity concentration measured over the 3–4-year period of 22 and 19%, respectively. Location 7 (Figure 3) was supplied from one borehole from December 2018 until August 2019. For this period, the average 222Rn activity concentration measured in tap water was 244 Bq L-1 with a standard deviation of 12%. The borehole that provided the village with water was replaced by another borehole due to its 238U concentration. After replacing the borehole, the average 222Rn concentration from August 2019 until February 2022 was 33 Bq L-1, with a standard deviation of 23%. From the above discussions, it can be said that when the water supply was derived from one borehole, the average radon concentrations in the drinking tap water showed relatively low standard deviations of less than 24% at a coverage factor of k = 1.

Fig 3
Fig. 3. Time variation of radon-in-water activity concentration for 3–4 years in Locations 5–7 in the Migdonia basin.

Fig 4
Fig. 4. Time variation of radon-in-water activity concentration for 3–4 years in Locations 8 and 9 in the Migdonia basin.

Location 2 (Figure 2) showed an overall (from September 2018 to June 2022) standard deviation for its average 222Rn activity concentration of 41%. It was supplied either by three or four boreholes from September 2018 to February 2020, showing a standard deviation of 30%. Because of remedial actions performed for 238U, one borehole was withdrawn. However, after the borehole’s withdrawal and its supply steadily from three boreholes, it showed (from June 2020 to June 2022) a lower standard deviation for its average radon concentration (64 Bq L-1) of 21%. Location 3 (Figure 2), supplied steadily by two boreholes, showed a standard deviation for its average radon concentration (91 Bq L-1) of 19%. From the results discussed for Locations 2 and 3, it can be said that when the water supply was derived from a constant number of boreholes, the average radon concentration in the drinking water showed a standard deviation of less than 22% at a coverage factor of k = 1. It is worth mentioning that the ratio of the contribution of each participating borehole to the total water supply must be relatively constant for the above discussion to be considered credible. This mention is due to the fact that the concentration of radon between the boreholes involved in the water supply of a location can vary considerably, as seen in Table 2.

Location 4 (Figure 2) is supplied with water from three boreholes. It showed an overall (from January 2019 to June 2022) average radon concentration of 48 Bq L-1 with a standard deviation of 32%. An abnormal increase (>2k) in its radon concentration was observed in November 2021. Several studies have correlated anomalies in groundwater radon concentrations with pre-seismic and post-seismic phases (17–20). This observation is possibly related to a change in the supplying ratios of the participating boreholes to the total supply, as no seismic activity was recorded during that period near Location 4.

Location 8 (Figure 4) has three boreholes available for its water supply, but it was not supplied continuously from all three boreholes. For this reason, its radon activity concentrations vary significantly, ranging from 2 to 97 Bq L-1. This observation concludes that the radon concentrations of its supplying boreholes also differ significantly. Therefore, special attention must be taken considering radon-in-water measurements in places supplied (not steadily) from more than one borehole because the average (over the year) radon concentration may be underestimated or overestimated, leading to an underestimated or overestimated dose calculation. In these cases, it should be considered which combination of boreholes prevails during the year, and it will be beneficial to know the radon concentration of each borehole to determine the potential of radon in tap water.

Location 6 (Figure 3), supplied with a mixture of water from two boreholes, seems to follow a downward trend in its radon concentration. Most probable, this decline is due to changes in the contribution of each supplying borehole to the total water supply. Location 9 (Figure 4), supplied from two boreholes, showed a standard deviation for its average 222Rn activity concentration (13 Bq L-1) of 31%.

The following are some observations concerning the correlation between radon concentrations measured in borehole water (source) and tap water (consumption) at the locations, according to the results presented in Table 2.

Location 5 is supplied with water from one borehole. Radon concentration was measured the same day (May 2022) in both the borehole and the location’s tap water. Radon concentration in the borehole (389 Bq L-1) was 92% higher than in the location’s tap water (203 Bq L-1). In 28 tap water measurements in this location, none exceeded the radon concentration measured in its supplying borehole (389 ± 19) Bq L-1.

In Location 1, also supplied from one borehole, the radon concentration measured in the borehole (97 Bq L-1) was 56% higher than in the tap water (62 Bq L-1). In 24 measurements performed in Location 1, the radon concentration exceeded the borehole’s concentration (measured once in May 2022) only once. Therefore, radon concentration is expected to be lower at the point of consumption than at the source (borehole) when a location is supplied with water from one borehole.

Regarding the concentration of radon in tap water in areas supplied with a mixture of water from more than one borehole, the concentration in tap water is expected to be lower than the borehole concentration with the highest measured concentration. It is worth noting that if, for some reason, it is necessary, for example, to interrupt the supply of location 3 from borehole g (29 Bq L-1), only borehole f (157 Bq L-1) will supply water to this site. This will increase the radon concentration in the tap water of Location 3 because the water from the two boreholes will no longer be mixed. Therefore, it is crucial to know the radon concentrations of the boreholes that supply a site, especially if a location is provided with water from more than one borehole. The lower radon concentrations at the point of consumption are caused by the procedures that follow water pumping from the boreholes and that precede its consumption, such as transportation, storage in tanks, and treatment through filtration systems, which can cause both radon loss and radioactive decay (due to delay).

Gross alpha, beta, and uranium isotopes activity concentration results

All the samples obtained have their origin in boreholes. Ten water samples have been examined regarding radioactive substances according to the Council Directive 2013/51/EURATOM. The measured alpha-activity concentration values lie between 0.11 and 5.00 Bq L-1 (Table 3). It is noticed that the gross alpha-activity in all samples exceeds 0.1 Bq L-1; for this reason, analysis for specific radionuclides was required. Considering all relevant information about likely sources of radioactivity, the radionuclides of choice for further investigation were the uranium isotopes 238U and 234U. The determined activity concentrations for 238U and 234U lie between 6.5 to 1,800 mBq L-1 and 30.1 to 2,640 mBq L-1, respectively. The determination of 210Po was performed in all samples, except sample A. The reason for this determination was that the difference between the alpha-activity concentrations and the uranium isotopes concentrations exceeds the 0.1 Bq L-1, which is the value that corresponds to the derived concentration of 210Po stated in the European Directive. In all the measured samples, the 210Po activity concentrations were less than 0.1 Bq L-1. They varied between 3 to 12 mBq L-1.

 

Table 3. Gross alpha, beta, and uranium isotopes activity concentration results
Location ID Sample code 238U (mBq L-1) 238U (μg L-1) 234U (mBq L-1) 234U/238U α (Bq L-1) β (Bq L-1) 222Rn (Bq L-1)
4 A 6.5 ± 1.24 0.52 ± 0.1 30.1 ± 3.2 4.6 0.11 ± 0.01 0.4 ± 0.02 59 ± 4.2
2 B 240 ± 20.3 19.3 ± 1.64 409 ± 32.5 1.7 0.98 ± 0.05 0.66 ± 0.04 44 ± 3.7
3 D 405 ± 28 32.6 ± 2.2 556 ± 37 1.4 1.2 ± 0.07 0.63 ± 0.03 79 ± 5
6 E 92 ± 7.1 7.4 ± 0.57 146 ± 10.5 1.6 0.57 ± 0.04 0.57 ± 0.04 94 ± 5.3
13 F 1,800 ± 119 146 ± 9.6 2,640 ± 172 1.5 5.00 ± 0.18 1.85 ± 0.08
13* F* 100 ± 7.6 8.1 ± 0.6 140 ± 7.2 1.4 0.28 ± 0.02 <0.01 47 ± 3.8
7 G 1,780 ± 82 143.5 ± 6.6 2,536 ± 132 1.4 4.4 ± 0.13 0.7 ± 0.03 244 ± 20
7* G* 164 ± 11.2 13.2 ± 0.9 315 ± 20.3 1.9 0.77 ± 0.04 0.45 ± 0.02 33 ± 3.6
5 H 246 ± 17 19.8 ± 1.4 367 ± 25.3 1.5 0.79 ± 0.05 0.55 ± 0.03 186 ± 8.4
1 J 300 ± 21.2 24.2 ± 1.7 319 ± 22.3 1.1 0.85 ± 0.05 0.56 ± 0.03 58 ± 4.1
F* & G* samples: measurements after remediation.

Furthermore, in sample F, the alpha-activity concentration was 0.5 Bq L-1 higher than the respective uranium isotopes concentrations. Therefore, according to the Council Directive, further investigation was required. The investigation refers to the radionuclide radium-226. The detected 226Ra activity concentrations are less than the parametric value of 0.5 Bq L-1 set in the Council Directive and indicate the existence of an additional alpha-emitting radionuclide (Table 4). Also, in samples A and H, 226Ra analysis was performed since elevated radon activity concentration was indicated in these samples.

 

Table 4. Radium (226Ra) activity concentration in selected water samples
Location ID Sample code 226Ra (mBq L-1)
4 A 90.7 ± 5.6
13 F 158 ± 9.4
5 H 175 ± 11.5

Besides, in samples F and G, the parametric value is higher than the parametric value of 0.1 mSv y-1, defined by the Council Directive 2013/51/Euratom. In these cases, although the water intended for human consumption from an individual supply served about 50 persons, remedial actions have been taken to comply with requirements for the protection of human health from a radiation protection point of view. The competent authorities and relevant bodies were informed, and they proceeded with remedial actions. For Location 7, the remedial actions concern the replacement of an existing borehole by another borehole, whereas for Location 13, the reduction of uranium through water filtration. The measurement results after remediation for samples F* and G* are presented in Table 3.

Correlation among radon, gross alpha, uranium, and radium concentrations

An attempt to correlate radon-in-water activity concentration with radium, uranium, gross alpha, and beta activity concentrations was made. The results are shown in Figure 5. Although no obvious correlation is observed between radon concentration and alpha, beta, uranium, and radium concentrations, radon depletion was observed in two locations (2 and 7) after measures were taken to reduce uranium (238U) concentration. In the first case involving Location 2, one of the four boreholes supplying the location was withdrawn due to its uranium concentration. After the borehole withdrawal, a significant reduction in radon concentration was also observed. Therefore, the borehole, which had a high uranium concentration, also had a high radon concentration. In the case of Location 7, the supplying borehole was replaced by another borehole. After this replacement, the radon-in-water activity concentrations measured in this location were also reduced. Several studies performed in the past (2126) have not found any apparent correlation between radon with uranium and radium in groundwater samples.

Fig 5
Fig. 5. Correlations between 222Rn and gross alpha, beta, 238U, and 226Ra concentrations in water.

Conclusions

This paper aimed to study a specific region in Northern Greece (Migdonia basin) regarding radon-in-water. This region’s locations (villages) are supplied with water from boreholes located in the basin sediments and the metamorphic rocks and granites.

Radon-in-water average activity concentrations in the Migdonia basin collected from public water supplies ranged from background concentrations up to 185 Bq L-1. The corresponding annual effective doses from inhalation of waterborne radon varied from 0.01 to 0.466 mSv y-1 using the UNSCEAR dose conversion factor and from 0.02 to 0.868 mSv y-1 using the ICRP dose conversion factor, while the annual effective dose due to radon ingestion ranged from 0.007 to 0.324 mSv y-1. This wide range observed in tap water radon concentrations is also a sign of a significant wide range among the radon concentrations of boreholes supplying these locations, as each location is supplied from different boreholes. Therefore, the existence of a borehole inside a rich in uranium area does not necessarily mean an increased radon concentration in its water. Regarding average radon concentrations measured over 3–4 years, only two locations overcame the parametric value of 100 Bq L-1 set by EURATOM. Although only two of the 66 locations showed average radon-in-water concentration higher than the parametric value, four other locations overcame the parametric value at least once through the period of measurements.

The time variation (3–4 years) of radon in tap water activity concentration was studied for locations supplied by only one or more boreholes. The average radon concentration showed relatively low standard deviations (<24%) in places provided with water from only one borehole. Locations supplied with water from a constant number of boreholes also showed relatively low (<22%) standard deviations from their average radon concentrations. These standard deviations are probably due to radon time variation of supplying boreholes and water demand changes. In the case of more than one borehole supplying the location, it is worth mentioning that the ratio of the contribution of each participating borehole to the total water supply was constant over time. If this condition does not apply, the standard deviations are expected to be higher if the boreholes involved in the water supply show significant differences in their radon concentrations.

Regarding the radon-in-water concentrations measured in boreholes (source) and tap water (consumption), a significant decline in radon concentration was observed from the source to the consumption point. This observation is due to treatment processes that cause radon degassing and storage in tanks, leading to the radioactive decay of radon. Therefore, water sampling should be performed at the point of consumption. However, radon measurement at the borehole (source) could be useful to determine the potential for radon in drinking tap water. Also, as seen from the results, if a location is supplied from more than one borehole, the water supply on the day of sampling may not derive from the combination of boreholes that prevail during the year. Therefore, the radon concentration and dose calculation may be underestimated or overestimated.

The study of the correlation between radon with gross alpha and beta, uranium, and radium showed no obvious correlation. Although no apparent correlation was found between radon and uranium, a decline in their radon concentrations was observed in two locations after remedial actions were performed to decrease uranium concentrations. However, as the Member States of the European Union are obliged to measure the gross alpha radiation, if they find it relatively high, this would be a good starting point along with geology for also measuring the radon concentration. Still, it does not necessarily mean radon will be found in elevated concentrations.

References

1. IAEA. Criteria for radionuclide activity concentrations for food and drinking water. IAEA-TECDOC-1788. Vienna: International Atomic Energy Agency; 2016.
2. EURATOM. Council Directive 2013/51/EURATOM of 22 October 2013 laying down requirements for the protection of the health of the general public with regard to radioactive substances in water intended for human consumption. Luxembourg: Official Journal of the European Union; 2013.
3. WHO. Management of radioactivity in drinking-water. Geneva: World Health Organization; 2018.
4. Chen J. A discussion on issues with radon in drinking water. Radiat Prot Dosimetry 2019 Dec 31; 185(4): 526–31. doi: 10.1093/rpd/ncz035
5. Otton JK. The geology of radon. Washington, DC: USGS Publications Warehouse; 1992.
6. National Research Council (U.S.). Committee on the risk assessment of exposure to radon in drinking water. Risk assessment of radon in drinking water. Washington, DC: National Academy Press; 1999. doi: 10.17226/6287
7. UNSCEAR. Sources and effects of ionizing radiation – annex B. New York, NY: United Nations Scientific Committee on the Effects of Atomic Radiation; 2000.
8. Savidou A, Sideris G, Zouridakis N. Radon in public water supplies in Migdonia Basin, Central Macedonia, Northern Greece. Health Physics 2001; 80(2): 170–4. doi: 10.1097/00004032-200102000-00010
9. Omirou M, Clouvas A, Leontaris F. Metrology aspects (sampling, storage, transportation, and measurement) of radon in water. J Eur Radon Assoc 2022; 3. doi: 10.35815/radon.v3.7790
10. Institut de radioprotection et de sûreté nucléaire. IRSN proficiency test «Measurement of radon-222 activity in water » Available from: https://www.fishersci.fr/shop/products/aluminum-bottles-tamper-evident- [cited 10 November 2021].
11. ISO 13164. Water quality – radon-222 – part 1–3. Geneva: International Organization for Standardization; 2013.
12. ISO 5667-1. Water quality – sampling – part 1: guidance on the design of sampling programmes and sampling techniques. Geneva: International Organization for Standardization; 2006.
13. UNSCEAR. Sources, effects and risks of ionizing radiation. New York, NY: United Nations Scientific Committee on the Effects of Atomic Radiation; 2019.
14. ICRP. ICRP Publication 137: occupational intakes of radionuclides: part 3. Ottawa, Canada: SAGE Publications; 2017.
15. ISO 11704. Water quality-gross alpha and gross beta activity-test method using liquid scintillation counting. Geneva: International Organization for Standardization; 2018.
16. ISO 11929-2. Determination of the characteristic limits (decision threshold, detection limit and limits of the coverage interval) for measurements of ionizing radiation-fundamentals and application. Geneva: International Organization for Standardization; 2019.
17. Igarashi G, Wakita H. Groundwater radon anomalies associated with earthquakes. Tectonophysics 1990; 180(2–4): 237–54. doi: 10.1016/0040-1951(90)90311-U
18. Singh M, Kumar M, Jain RK, Chatrath RP. Radon in ground water related to seismic events. Radiat Meas 1999; 30(4): 465–9. doi: 10.1016/S1350-4487(99)00049-9
19. Kawabata K, Sato T, Takahashi HA, Tsunomori F, Hosono T, Takahashi M, et al. Changes in groundwater radon concentrations caused by the 2016 Kumamoto earthquake. J Hydrol 2020; 584: 124712. doi: 10.1016/j.jhydrol.2020.124712
20. Barberio MD, Gori F, Barbieri M, Billi A, Casalati F, Franchini S, et al. Optimization of dissolved radon monitoring in groundwater to contribute to the evaluation of the seismic activity: an experience in central-southern Italy. SN Appl Sci 2020; 2(8): 1–12. doi: 10.1007/s42452-020-3185-2
21. de Oliveira J, Paci Mazzilli B, Helena De Oliveira Sampa M, Bambalas E. Natural radionuclides in drinking water supplies of Sao Paulo State, Brazil and consequent population doses. J Environ Radioact 2001; 53(1): 99–109. doi: 10.1016/s0265-931x(00)00101-6
22. Cho BW, Kim DS, Kim MS, Hwang JH, Choo CO. Hydrogeochemical characteristics of uranium and radon in groundwater from the goesan area of the ogcheon metamorphic belt (Omb), Korea. Sustainability (Switzerland) 2021; 13(20): 11261. doi: 10.3390/su132011261
23. Kumar M, Kaushal A, Sahoo BK, Sarin A, Mehra R, Jakhu R, et al. Measurement of uranium and radon concentration in drinking water samples and assessment of ingestion dose to local population in Jalandhar district of Punjab, India. Indoor Built Environ 2019; 28(5): 611–18. doi: 10.1177/1420326X17703773
24. Lahermo P, Juntunen R. Radiogenic elements in Finnish soils and groundwaters. Appl Geochem 1991; 6(2): 169–83. doi: 10.1016/0883-2927(91)90027-M
25. Cho BW, Choo CO. Geochemical behavior of uranium and radon in groundwater of Jurassic granite area, Icheon, Middle Korea. Water (Switzerland) 2019; 11(6): 1278. doi: 10.3390/w11061278
26. Zouridakis N, Ochsenkühn KM, Savidou A. Determination of uranium and radon in potable water samples. J Environ Radioact 2002; 61(2): 225–32. doi: 10.1016/s0265-931x(01)00125-4